Foram encontradas 200 questões.
O resultado da expressão numérica 417 + 212 – 199 é:
Provas
Questão presente nas seguintes provas
Assinale a alternativa que apresenta dois exemplos de números que são divisíveis
por 6.
Provas
Questão presente nas seguintes provas
As soluções da equação do segundo grau 2x² + 2x - 4 = 0 são:
Provas
Questão presente nas seguintes provas
Em um grupo de amigos, sabe-se que Antônio tem 40 anos, Maria tem 54 anos e
José tem 38 anos. A média aritmética das idades de Antônio, José e Maria é:
Provas
Questão presente nas seguintes provas
Márcio tem em sua carteira R$ 100,00 que devem ser utilizados para pagar a conta
de luz da sua casa. Após pagar R$ 54,67 referentes ao valor da conta de luz, restará na carteira de
Márcio:
Provas
Questão presente nas seguintes provas
Qual dos números romanos apresentados nas alternativas abaixo é o menor?
Provas
Questão presente nas seguintes provas
João tem 1/2 da barra de um chocolate da marca A e Maria tem 1/6 de outra barra de
chocolate da mesma marca. Sendo assim, João e Maria têm juntos:
Provas
Questão presente nas seguintes provas
Ao transformar o número decimal 0,7 em fração, obtemos:
Provas
Questão presente nas seguintes provas
Das alternativas abaixo, assinale aquela que pode representar o gráfico da seguinte
função de primeiro grau: 
Provas
Questão presente nas seguintes provas
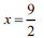
O valor de “x” na proporção
é:
Provas
Questão presente nas seguintes provas
Cadernos
Caderno Container