Magna Concursos

Foram encontradas 1.710 questões.

1940773 Ano: 2020
Disciplina: Pedagogia
Banca: GUALIMP
Orgão: Pref. Comendador Levy Gasparian-RJ
Provas:

No contexto do ensino de Ciências do Ensino Fundamental, a Base Nacional Comum Curricular (BNCC) - Componente Curricular: Ciências, o Professor poderá desenvolver com os alunos do nono ano do Ensino Fundamental a seguinte habilidade: Descrever a composição e a estrutura do Sistema Solar (Sol, planetas rochosos, planetas gigantes gasosos e corpos menores), assim como a localização do Sistema Solar na nossa Galáxia (a Via Láctea) e dela no Universo (apenas uma galáxia dentre bilhões). Para tanto, o Professor deverá selecionar a seguinte unidade temática:

 

Provas

Questão presente nas seguintes provas
1940772 Ano: 2020
Disciplina: Biologia
Banca: GUALIMP
Orgão: Pref. Comendador Levy Gasparian-RJ
Provas:

Para desenvolver temáticas de Ciências Naturais, com os alunos do Ensino Fundamental, o Professor poderá apresentar a seguinte definição:

“Organela presente em células eucarióticas; consiste de vesículas, túbulos e sacos achatados. Funciona na coleção e na aglomeração de substâncias fabricadas pela célula.”

No contexto das Ciências Naturais, o fragmento acima conceitua:

 

Provas

Questão presente nas seguintes provas
1940771 Ano: 2020
Disciplina: Biologia
Banca: GUALIMP
Orgão: Pref. Comendador Levy Gasparian-RJ
Provas:

No contexto da anatomia humana, a ação de rotação com tórax girando para o lado oposto e Flexão do tronco e aumento da pressão intra-abdominal pode ser corretamente atribuída ao seguinte músculo:

 

Provas

Questão presente nas seguintes provas
1940770 Ano: 2020
Disciplina: Química
Banca: GUALIMP
Orgão: Pref. Comendador Levy Gasparian-RJ
Provas:

No contexto das funções inorgânicas o Ácido fosfórico, cuja formula é (H3PO4), pode ser considerado como:

 

Provas

Questão presente nas seguintes provas
1940769 Ano: 2020
Disciplina: Direito Educacional e Tecnológico
Banca: GUALIMP
Orgão: Pref. Comendador Levy Gasparian-RJ
Provas:

De acordo com a Base Nacional Comum Curricular (BNCC) - Componente Curricular: Ciências, aponta a unidade temática “Terra e Universo” a ser trabalhada com os alunos do oitavo ano do Ensino Fundamental. De tal forma, ao desenvolver esta unidade temática espera-se que os alunos desenvolvam a seguinte habilidade:

 

Provas

Questão presente nas seguintes provas
1940767 Ano: 2020
Disciplina: Biologia
Banca: GUALIMP
Orgão: Pref. Comendador Levy Gasparian-RJ
Provas:

Complete as sentenças abaixo acerca da evolução da espécie humana:

I - O , trata-se do fóssil de uma espécie que vivia, na transição entre floresta e savana (atual Chade, África) e que sugere a divergência mais antiga entre as linhagens do homem e dos chimpanzés (~7Maa).

II - O , foi considerado os primeiros hominídeos a explorar outros continentes.

 

Provas

Questão presente nas seguintes provas
1940766 Ano: 2020
Disciplina: Biologia
Banca: GUALIMP
Orgão: Pref. Comendador Levy Gasparian-RJ
Provas:

Leia o texto abaixo, e assinale qual o tipo de interação ecológica os indivíduos grifados, abaixo, apresentam:

“Em todo o mundo os recifes de corais são conhecidos pela beleza de variedade de vida, formas e cores. Devido sua fragilidade, os recifes de coral vêm sendo, rapidamente, degradados pelas atividades humanas como a sobrepesca, o desenvolvimento costeiro abrupto e desordenado, pela introdução de resíduos, agrotóxicos, sedimentos ou pelo crescente aumento, na intensidade do turismo, nessas áreas”.

 

Provas

Questão presente nas seguintes provas
1940765 Ano: 2020
Disciplina: Biologia
Banca: GUALIMP
Orgão: Pref. Comendador Levy Gasparian-RJ
Provas:

Assinale o nome da estrutura anatômica do olho, o qual o texto, abaixo, se refere:

“Face opaca posterior da túnica fibrosa. Consiste em uma densa rede de fibras colágenas e elásticas, geralmente, brancas (“o branco do olho”). Ventral ao polo posterior há uma pequena área cribriforme, na qual passam as fibras do nervo óptico, o qual é envolto por uma bainha de tecido conjuntivo que prolonga a dura-máter a esta estrutura. Ela também é penetrada por diversos nervos e artérias ciliares pequenas e por veias vorticosas maiores. Essas estruturas conferem fixação aos tendões dos músculos oculares, na região anterior à do equador”.

 

Provas

Questão presente nas seguintes provas
1940764 Ano: 2020
Disciplina: Biologia
Banca: GUALIMP
Orgão: Pref. Comendador Levy Gasparian-RJ
Provas:

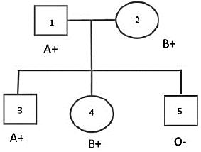
Com base no heredograma abaixo, julgue a alternativa correta:

Enunciado 2977523-1

 

Provas

Questão presente nas seguintes provas
1940763 Ano: 2020
Disciplina: Biologia
Banca: GUALIMP
Orgão: Pref. Comendador Levy Gasparian-RJ
Provas:

Assinale verdadeiro (V) ou falso (F) para as seguintes afirmativas, acerca do tecido epitelial:

( ) O epitélio de transição é um epitélio estratificado em que a forma das células da camada mais superficial varia com o estado de distensão ou relaxamento do órgão, ele reveste a bexiga urinária, o ureter e a porção inicial da uretra.

( ) As células que exercem intensa absorção, como as do epitélio de revestimento do intestino delgado e dos túbulos proximais dos rins, apresentam centenas de microvilos.

( ) As glândulas endócrinas sempre possuem duas porções: uma porção secretora constituída pelas células responsáveis pelo processo secretório e uma porção constituída por ductos excretores que transportam a secreção eliminada pelas células.

 

Provas

Questão presente nas seguintes provas