Foram encontradas 231 questões.
Considerando que:
A U B = {a, b, c, d, e, f, g, h},
A ∩ B = {d, e}
e
A – B = {a, b, c}
determine o conjunto B:
Provas
Questão presente nas seguintes provas
São exemplos de seres vivos
eucariontes, exceto:
Provas
Questão presente nas seguintes provas
116379
Ano: 2016
Disciplina: Legislação Municipal
Banca: REIS & REIS
Orgão: Pref. Cipotânea-MG
Disciplina: Legislação Municipal
Banca: REIS & REIS
Orgão: Pref. Cipotânea-MG
Provas:
De acordo com o Estatuto dos Servidores Públicos do Município de Cipotânea, “a ............................. é a aceitação formal, pelo nomeado, das atribuições, dos deveres, das responsabilidades e dos direitos inerentes ao cargo público ou a função pública para o qual foi nomeado.”
Marque a alternativa que completa corretamente o enunciado acima:
Marque a alternativa que completa corretamente o enunciado acima:
Provas
Questão presente nas seguintes provas
116378
Ano: 2016
Disciplina: Legislação Municipal
Banca: REIS & REIS
Orgão: Pref. Cipotânea-MG
Disciplina: Legislação Municipal
Banca: REIS & REIS
Orgão: Pref. Cipotânea-MG
Provas:
De acordo com o art. 2º da Lei
Orgânica de Cipotânea são objetivos
prioritários do Município, exceto:
Provas
Questão presente nas seguintes provas
Calcule o perímetro de uma quadra de basquete de 28m de comprimento e 15m de largura:

Provas
Questão presente nas seguintes provas
Em uma lanchonete tem a seguinte promoção.

Resolvemos comprar para o lanche da empresa 150 unidades dessa promoção. Pagamos ao todo o valor de:
Provas
Questão presente nas seguintes provas
Calcule:

Provas
Questão presente nas seguintes provas
Dado o conjunto a seguir, determine qual afirmativa abaixo está incorreta:
A = { x ∈
/ -3 < x ≤ 7}
/ -3 < x ≤ 7}Provas
Questão presente nas seguintes provas
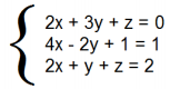
A solução do sistema linear abaixo é:

Provas
Questão presente nas seguintes provas
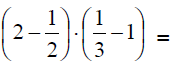
O valor da expressão abaixo é:


Provas
Questão presente nas seguintes provas
Cadernos
Caderno Container