Foram encontradas 217 questões.
Em conformidade com a Lei Municipal nº 2.214/1984,
que institui o Regime Jurídico dos Servidores Públicos do
Município de Canoas, assinalar a alternativa CORRETA.
Provas
Questão presente nas seguintes provas
Qual é a soma dos dez primeiros termos de uma
progressão aritmética em que o quarto termo é 25 e o
décimo termo é 55?
Provas
Questão presente nas seguintes provas
Considerando-se um prisma hexagonal regular em que a
medida de comprimento da aresta da base é 3cm e a medida
de comprimento da aresta lateral é 6cm, avaliar se as
afirmativas são certas (C) ou erradas (E) e assinalar a
sequência correspondente.
( ) A medida de área lateral é 108cm2.
( ) A medida de área da base é inferior a 9cm2.
( ) A medida de área total do prisma é superior a 200cm2.
( ) A medida de área lateral é 108cm2.
( ) A medida de área da base é inferior a 9cm2.
( ) A medida de área total do prisma é superior a 200cm2.
Provas
Questão presente nas seguintes provas
Assinalar a alternativa que contém o determinante da
matriz quadrada de ordem 2 tal que aij = i2 − j.
Provas
Questão presente nas seguintes provas
Considerando-se a taxa de variação de cada uma das
funções afins, relacionar as colunas e assinalar a sequência
correspondente.
(1) Crescente.
(2) Decrescente.
( ) f(x) = 4x − 6
( ) f(x) = 10 − 2x
( ) f(x) = −5x + 1
(1) Crescente.
(2) Decrescente.
( ) f(x) = 4x − 6
( ) f(x) = 10 − 2x
( ) f(x) = −5x + 1
Provas
Questão presente nas seguintes provas
A fração geratriz da dízima periódica 2,36212121... é:
Provas
Questão presente nas seguintes provas
A respeito do valor das razões trigonométricas de
ângulos agudos, relacionar as colunas e assinalar a
sequência correspondente.
(1) 30°
(2) 45°
(3) 60°
( ) cos ____ = 0,5
( ) sen ____ = 0,5
( ) tan ____ = 1
(1) 30°
(2) 45°
(3) 60°
( ) cos ____ = 0,5
( ) sen ____ = 0,5
( ) tan ____ = 1
Provas
Questão presente nas seguintes provas
O triângulo ABC, representado no plano cartesiano
abaixo, tem como vértices A(4 ,7), B(5, 3) e C(2, 4).
Determinar as coordenadas dos vértices do triângulo A'B'C', obtido pela reflexão do triângulo ABC em relação ao eixo y.
Determinar as coordenadas dos vértices do triângulo A'B'C', obtido pela reflexão do triângulo ABC em relação ao eixo y.
Provas
Questão presente nas seguintes provas
Considerando-se todos os números de três algarismos
formados usando 1, 2, 3, 4 e 5, avaliar se as afirmativas são
certas (C) ou erradas (E) e assinalar a sequência
correspondente.
( ) A quantidade de números que podem ser formados é 15.
( ) A quantidade de números múltiplos de 5 é 25.
( ) A quantidade de números que começam por algarismo ímpar é superior à que começam por algarismo par.
( ) A quantidade de números que podem ser formados é 15.
( ) A quantidade de números múltiplos de 5 é 25.
( ) A quantidade de números que começam por algarismo ímpar é superior à que começam por algarismo par.
Provas
Questão presente nas seguintes provas
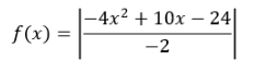
Considerar a função modular abaixo e assinalar a
alternativa que corresponde ao resultado de f(5).


Provas
Questão presente nas seguintes provas
Cadernos
Caderno Container