Foram encontradas 40 questões.
Qual das alternativas a seguir apresenta a atividade fundamental do processo de fiscalização de uma obra ou serviço durante a execução de um projeto de engenharia?
Provas
Com base na Seção VIII (Da Política Habitacional) da Lei Ordinária n.º 717/2012, assinale a alternativa que apresenta um dos objetivos gerais da política habitacional.
Provas
Conforme a Lei Ordinária n.º 733/2012 do Município de Campo Magro, assinale a alternativa correta a respeito do fechamento dos terrenos e da construção de passeios.
Provas
De acordo com a Lei Ordinária n.º 731/2012, que estabelece o Zoneamento do Uso e de Ocupação do Solo no Município de Campo Magro, existem critérios específicos para a configuração urbana das Zonas de Urbanização Consolidada I (ZUC I). Considerando os parâmetros urbanísticos definidos para a Unidade Territorial de Planejamento de Campo Magro, qual das alternativas a seguir apresenta correta e respectivamente as dimensões de testada mínima (para lotes de esquina 15 m), recuo frontal, recuo lateral (se houver abertura) e taxa de ocupação para os lotes localizados na ZUC I?
Provas
O Plano Diretor é um instrumento fundamental para a política de desenvolvimento e expansão urbana, conforme estabelecido pelo Estatuto da Cidade (Lei n.º 10.257/2001). Qual das alternativas a seguir apresenta corretamente as condições de obrigatoriedade e de prazo de revisão e atualização do Plano Diretor, conforme estabelecido pelo Estatuto da Cidade?
Provas
Qual das seguintes afirmações apresenta a diferença entre uma avaliação e uma vistoria, conforme as diretrizes aplicadas no contexto da engenharia?
Provas
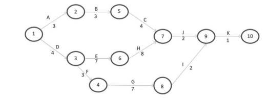
Dado o diagrama de rede a seguir, em que o número no corpo da seta representa o tempo em dias de cada tarefa, assinale a alternativa que apresenta o tempo mínimo de duração do projeto.

Provas
Conforme definido na NPT 011 do Corpo de Bombeiros do Estado do Paraná, as paredes das caixas da escada enclausurada devem garantir e possuir tempo de resistência ao fogo de, no mínimo:
Provas
A NBR 6.118/2023 faz prescrições de valores mínimos para as dimensões de elementos estruturais de concreto com objetivo de evitar um desempenho inaceitável para os elementos estruturais e propiciar condições de execução adequada. Com base na norma evocada, assinale a alterativa que apresenta correta e respectivamente a largura mínima da seção transversal das vigas, seu mínimo absoluto em casos excepcionais e a área mínima da seção transversal de um pilar.
Provas
Assinale a alternativa que corresponde corretamente à etapa Exame em uma perícia técnica de engenharia, conforme estabelecido pelo Código de Processo Civil (2015).
Provas
Caderno Container