Foram encontradas 340 questões.
O gráfico a seguir ilustra parâmetros relacionados à dinâmica da curva de crescimento populacional.

(http://educacao.globo.com)
Com relação aos parâmetros que compõem o gráfico, é correto afirmar que
Provas
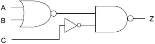
Analise o circuito digital a seguir, composto por três portas lógicas.

Assinale a alternativa que apresenta uma combinação de valores para as entradas A, B e C que produza a saída Z igual a 0.
Provas
A quase totalidade dos equipamentos eletromédicos para serem comercializados no Brasil precisam que seus fabricantes possuam um registro desses equipamentos na ANVISA e, para obter esse registro, os fabricantes necessitam apresentar um certificado de segurança e desempenho essencial fornecido pelo Sistema Brasileiro de Avaliação de Conformidade do INMETRO para esses equipamentos. Uma das exigências para a obtenção desse certificado é que as medições no equipamento, para verificar a conformidade aos requisitos normativos nacionais e internacionais, sejam realizadas preferencialmente por um:
Provas
Um engenheiro clínico mede a sua própria frequência cardíaca cinco vezes em sequência e obtém os seguintes valores em batimentos por minuto: 65,0; 60,0; 60,0; 65,0 e 60,0. Sabe-se que as raízes quadradas de 2,00; 2,42; 2,73; 3,68; 4,25; 5,00; 5,12, 6,48 e 7,50 são aproximadamente 1,41; 1,56; 1,65; 1,92; 2,06; 2,24; 2,26; 2,55 e 2,74, respectivamente. A incerteza tipo A da medida da sua frequência cardíaca é:
Provas
Um engenheiro clínico mede a sua própria frequência cardíaca cinco vezes em sequência e obtém os seguintes valores em batimentos por minuto: 65,0; 60,0; 60,0; 65,0 e 60,0. O valor mais provável, ou valor medido, da sua frequência cardíaca é:
Provas
Uma atividade fundamental de uma equipe de Engenharia Clínica em um local de atendimento à saúde é a calibração de seus instrumentos de medição e equipamentos médicos. A calibração consiste em
Provas
Os equipamentos médico-hospitalares e odontológicos, incluindo autoclaves, aparelhos de raio-X, mamógrafos, tomógrafos, sistemas de revelação e digitalização de imagem, ecógrafos monitores multiparamétricos, cardioversores, respiradores, carrinhos de anestesia, equipamentos para gasoterapia, incubadoras, berços aquecidos e unidades eletrocirúrgicas,
Provas
O Engenheiro Clínico deve avaliar a existência de radiações em hospitais, considerando que
Provas
As unidades eletrocirúrgicas são equipamentos eletromédicos
Provas
Os berços aquecidos são
Provas
Caderno Container