Magna Concursos

Foram encontradas 100 questões.

1453844 Ano: 2008
Disciplina: Engenharia Elétrica
Banca: UPENET/IAUPE
Orgão: Pref. Camaragibe-PE
Provas:

Sobre os instrumentos de bobina móvel, é CORRETO afirmar que

 

Provas

Questão presente nas seguintes provas
1453843 Ano: 2008
Disciplina: Matemática
Banca: UPENET/IAUPE
Orgão: Pref. Camaragibe-PE

Assinale a alternativa CORRETA.

 

Provas

Questão presente nas seguintes provas
1453842 Ano: 2008
Disciplina: Matemática
Banca: UPENET/IAUPE
Orgão: Pref. Camaragibe-PE
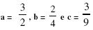
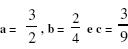
Se Enunciado 1453842-1 então o valor de a - c - b é
 

Provas

Questão presente nas seguintes provas
1453841 Ano: 2008
Disciplina: Matemática
Banca: UPENET/IAUPE
Orgão: Pref. Camaragibe-PE

Considere o número 1234567890123456x, onde x representa o algarismo das unidades. Se esse número é divisível por 5, então o valor mínimo que x pode assumir é

 

Provas

Questão presente nas seguintes provas
1453840 Ano: 2008
Disciplina: Matemática
Banca: UPENET/IAUPE
Orgão: Pref. Camaragibe-PE

Colocando-se os números Enunciado 1453840-1 em ordem decrescente, obtém-se

 

Provas

Questão presente nas seguintes provas
1453839 Ano: 2008
Disciplina: Matemática
Banca: UPENET/IAUPE
Orgão: Pref. Camaragibe-PE

Em uma estrada, havia um congestionamento de 9 km. Quantos carros estavam na fila, se cada carro ocupa um espaço de 4,5 m em média?

 

Provas

Questão presente nas seguintes provas
1453838 Ano: 2008
Disciplina: Matemática Financeira
Banca: UPENET/IAUPE
Orgão: Pref. Camaragibe-PE

Um corretor de imóveis recebe 10% de comissão nas vendas que realiza. Qual foi sua comissão em uma venda de R$ 6.000,00?

 

Provas

Questão presente nas seguintes provas
1453837 Ano: 2008
Disciplina: Matemática
Banca: UPENET/IAUPE
Orgão: Pref. Camaragibe-PE

Em uma estação, os metrôs partem na direção leste de 30 em 30 minutos, e na direção sul, de 40 em 40 minutos. Em um instante, os metrôs partiram juntos, da mesma estação. Quanto tempo depois, isso acontecerá novamente, considerando ter sido mantida a regularidade?

 

Provas

Questão presente nas seguintes provas
1453836 Ano: 2008
Disciplina: Matemática
Banca: UPENET/IAUPE
Orgão: Pref. Camaragibe-PE

Patrícia calculou o quadrado de 20, dividiu pela quinta potência de 1, adicionou a sexta potência de 0 e subtraiu o cubo de 5. Qual o número encontrado?

 

Provas

Questão presente nas seguintes provas
1453835 Ano: 2008
Disciplina: Matemática
Banca: UPENET/IAUPE
Orgão: Pref. Camaragibe-PE

Maria das Graças gasta Enunciado 1453835-1 do dinheiro que possui. Se Maria tinha R$ 400,00, é CORRETO afirmar que Maria gastou

 

Provas

Questão presente nas seguintes provas