Magna Concursos

Foram encontradas 50 questões.

3070579 Ano: 2024
Disciplina: Pedagogia
Banca: CESPE / CEBRASPE
Orgão: Pref. Camaçari-BA
Provas:
Os projetos são também instrumentos de avaliação na matemática e podem ser utilizados para avaliarem os estudantes em diferentes aspectos além do cognitivo. Nesse contexto, assinale a opção correta a respeito das características dos projetos como instrumento de avaliação.
 

Provas

Questão presente nas seguintes provas
3070578 Ano: 2024
Disciplina: Pedagogia
Banca: CESPE / CEBRASPE
Orgão: Pref. Camaçari-BA
Provas:
A taxonomia de Bloom é um modelo hierárquico utilizado para classificar os objetivos de aprendizagem por níveis de complexidade e especificidade. É uma ferramenta eficaz para ajudar os professores a identificar objetivos de aprendizagem claros, bem como a criar atividades de aprendizagem com propósitos e materiais instrucionais adequados. Na taxonomia de Bloom os objetivos de aprendizagem são divididos nos domínios cognitivo, psicomotor e afetivo. Na matemática, o ensino e avaliação estão intimamente relacionados com objetivos contidos no domínio cognitivo da taxonomia, por isso ela também pode ser usada para propor questões de testes ou tarefas de casa.

Nesse contexto, a questão “Seja f(x) um polinômio de quinto grau. Quantas raízes f(x) pode ter e quais são suas possíveis características? Explique.” pode ser enquadrada, dentro do domínio cognitivo, no nível de
 

Provas

Questão presente nas seguintes provas
3070577 Ano: 2024
Disciplina: Pedagogia
Banca: CESPE / CEBRASPE
Orgão: Pref. Camaçari-BA
Provas:
De acordo com a Base Nacional Comum Curricular (BNCC), o componente curricular de matemática para o ensino fundamental deve garantir que o aluno desenvolva competências específicas, entre elas, inclui-se
 

Provas

Questão presente nas seguintes provas
3070576 Ano: 2024
Disciplina: Matemática
Banca: CESPE / CEBRASPE
Orgão: Pref. Camaçari-BA
Provas:
Ao longo da história, diversos matemáticos, como Euler, Dedekind, Hankel, Bernoulli e Cauchy, contribuíram para o conceito moderno de função algébrica que se conhece hoje na matemática. Assinale a opção que apresenta a noção moderna da definição de função unívoca.
 

Provas

Questão presente nas seguintes provas
3070575 Ano: 2024
Disciplina: Matemática
Banca: CESPE / CEBRASPE
Orgão: Pref. Camaçari-BA
Provas:
Assinale a opção que apresenta a taxa efetiva anual j que uma taxa de 2% ao mês fornece.
 

Provas

Questão presente nas seguintes provas
3070574 Ano: 2024
Disciplina: Matemática
Banca: CESPE / CEBRASPE
Orgão: Pref. Camaçari-BA
Provas:
No preço P de um determinado produto foram aplicados, em dois meses consecutivos, dois aumentos sucessivos de 20% e, no terceiro mês, um desconto de 40%. Considerando regime de capitalização composto, é correto afirmar que, em relação ao seu valor original P, o preço final do produto
 

Provas

Questão presente nas seguintes provas
3070573 Ano: 2024
Disciplina: Estatística
Banca: CESPE / CEBRASPE
Orgão: Pref. Camaçari-BA
Provas:
Se a média aritmética de 23 números inteiros não negativos diferentes é 167, então, nessas condições, o maior valor que um desses números pode assumir é
 

Provas

Questão presente nas seguintes provas
3070572 Ano: 2024
Disciplina: Estatística
Banca: CESPE / CEBRASPE
Orgão: Pref. Camaçari-BA
Provas:
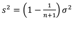
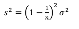
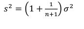
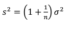
O conjunto de dados x1, x2,… xn, tem variância amostral Enunciado 3580190-1 e média aritmética Enunciado 3580190-2. Se o dado xn+1for incluído nesse conjunto de forma que a média do novo conjunto de dados permaneça inalterada, assinale a opção que apresenta a variância s² do novo conjunto de dados.
 

Provas

Questão presente nas seguintes provas
3070571 Ano: 2024
Disciplina: Matemática
Banca: CESPE / CEBRASPE
Orgão: Pref. Camaçari-BA
Provas:
Uma urna contém 12 bolas azuis e 12 bolas vermelhas. Se duas bolas são retiradas aleatoriamente da urna, uma em sequência da outra e sem reposição, a probabilidade de se tirar duas bolas de cores diferentes é igual a
 

Provas

Questão presente nas seguintes provas
3070570 Ano: 2024
Disciplina: Matemática
Banca: CESPE / CEBRASPE
Orgão: Pref. Camaçari-BA
Provas:
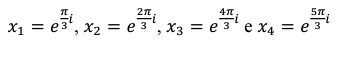
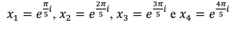
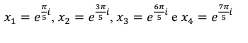
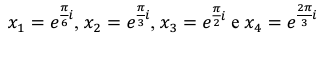
A equação polinomial 1 + x + x² + x³ + x4 + x5 = 0 possui dois pares de raízes complexas conjugadas e uma raiz real. Considerando i² = -1, assinale a opção que apresenta as raízes complexas dessa equação.
 

Provas

Questão presente nas seguintes provas