Foram encontradas 318 questões.
Uma equipe de engenharia precisa formar uma comissão com 3 engenheiros escolhidos dentre 7 profissionais disponíveis. Com base nisso, assinale a alternativa que indica CORRETAMENTE de quantas maneiras diferentes essa comissão pode ser formada.
Provas
Uma empresa fornece auxílio-transporte aos seus funcionários seguindo uma progressão aritmética. O primeiro funcionário recebe R$ 120, o segundo recebe R$ 150, o terceiro recebe R$ 180, e assim por diante, sempre aumentando pelo mesmo valor. Sabendo que esse padrão continua e que o valor total pago aos 8 primeiros funcionários é de R$ 2.160, assinale a alternativa que apresenta o valor do auxílio recebido pelo 8º funcionário.
Provas
Determinado objeto possui formato esférico, cujo raio é igual a 3 centímetros. Nesse sentido, assinale a alternativa que indica CORRETAMENTE o seu volume.
Provas
Calcule a integral ∫ (4x + 6) dx e, em seguida, assinale a alternativa que apresenta a sua primitiva CORRETA.
Provas
Considere a função:
f (x) = 3x2 - 5x + 4
Calcule f ' (x), isto é, a derivada da função e, em seguida, assinale a alternativa correta:
Provas
Em uma fábrica de equipamentos de proteção, sabe-se que 90% das máscaras produzidas não apresentam defeito algum. Um técnico em segurança retira 5 máscaras de um lote para verificar a qualidade. Com base nisso, assinale a alternativa que indica a probabilidade de que exatamente 1 das máscaras não esteja com defeito.
Provas
Em um processo industrial, o tempo necessário para que uma máquina finalize um ciclo de operação segue uma distribuição contínua uniforme no intervalo de 8 a 14 minutos. Nesse sentido, assinale a alternativa que indica CORRETAMENTE a probabilidade de que um ciclo escolhido ao acaso dure mais que 12 minutos.
Provas
Uma amostra aleatória possui os seguintes dados: {7, 3, 2, 7, 11}. Nesse sentido, calcule a média, a mediana e a variância amostral. Em seguida, assinale a alternativa contendo a resposta, respectivamente, CORRETA.
Provas
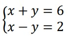
Resolva o sistema linear abaixo. Em seguida, assinale a alternativa contendo a resposta CORRETA.

Provas
Considere a matriz abaixo:

Assinale a alternativa que indica CORRETAMENTE o determinante da matriz A.
Provas
Caderno Container