Magna Concursos

Foram encontradas 1.085 questões.

3864274 Ano: 2024
Disciplina: Matemática
Banca: Avança SP
Orgão: Pref. Caçapava-SP
Quantos números inteiros positivos de 4 algarismos existem que não são múltiplos de 3?
 

Provas

Questão presente nas seguintes provas
3864273 Ano: 2024
Disciplina: Matemática
Banca: Avança SP
Orgão: Pref. Caçapava-SP
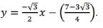
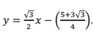
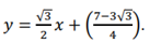
Dados os seguintes sistemas lineares:

Enunciado 4842945-1

E dadas as seguintes nomenclaturas:

• SPD: Sistema Possível Determinado;
• SPI: Sistema Possível Indeterminado;
• SI: Sistema Impossível.

A classificação desses sistemas, I, II e III, nesta ordem, é:
 

Provas

Questão presente nas seguintes provas
3864272 Ano: 2024
Disciplina: Matemática
Banca: Avança SP
Orgão: Pref. Caçapava-SP
Observe as afirmativas a seguir:

I – O número (2n + 3)n , com n um número natural, é sempre um número ímpar.
III – Dados a e n inteiros positivos e não-nulos, o número an+1 + an−1 é par.
III – A soma de três números naturais consecutivos é sempre um número ímpar.

São corretas:
 

Provas

Questão presente nas seguintes provas
3864271 Ano: 2024
Disciplina: Matemática
Banca: Avança SP
Orgão: Pref. Caçapava-SP
Observando ainda a figura e o contexto da questão anterior (quadrados sobrepostos).Indique a área sombreada quando o ângulo a for π/ 4radianos:
 

Provas

Questão presente nas seguintes provas
3864270 Ano: 2024
Disciplina: Matemática
Banca: Avança SP
Orgão: Pref. Caçapava-SP
A figura abaixo mostra dois quadrados ABCD e EFGH, ambos de lados igual a d. Inicialmente os quadrados estão completamente sobrepostos.

Enunciado 4842942-1

O quadrado EFGH pode girar em relação ao quadrado ABCD, por um dado ângulo a. Indique, dentre as correspondências abaixo, o gráfico que melhor representa a área sombreada, A (superposição dos dois quadrados), em função do ângulo a:
 

Provas

Questão presente nas seguintes provas
3864269 Ano: 2024
Disciplina: Matemática
Banca: Avança SP
Orgão: Pref. Caçapava-SP
Considere uma função polinomial de grau 5, f(x) = a5x5 + a4x4 + a3x3 + a2x2 + a1x + a0 cujos coeficientes ai são todos não-nulos. A respeito desta função, observe as afirmativas:

I – Pode ter até 5 pontos estacionários (máximo, mínimo e inflexão);
II – Os limites Enunciado 4842941-1 são necessariamente diferentes.
III – f(x) necessariamente terá todas as raízes também reais.

Enunciado 4842941-2

Estão corretas:
 

Provas

Questão presente nas seguintes provas
3864268 Ano: 2024
Disciplina: Matemática
Banca: Avança SP
Orgão: Pref. Caçapava-SP
Suponha que são colocadas numa sala 26 pessoas, cujas letras iniciais do nome de cada uma delas é uma letra diferente do alfabeto. Tirando-se 3 pessoas desta sala, aleatoriamente, e levando para outra, qual a probabilidade de todas elas terem o nome iniciando com uma vogal?
 

Provas

Questão presente nas seguintes provas
3864267 Ano: 2024
Disciplina: Matemática
Banca: Avança SP
Orgão: Pref. Caçapava-SP
Uma empresa automotiva fabrica peças e revende para concessionárias. Suponha que no mês de fevereiro as vendas de um determinado tipo de peça aumentaram em 20% em relação a janeiro. Sabendo-se que em fevereiro, uma determinada concessionária comprou 30% de todas as peças vendidas, e que seu aumento percentual de peças compradas de janeiro para fevereiro foi de 60%, quantos por cento das peças vendidas pela empresa ela comprou em janeiro?
 

Provas

Questão presente nas seguintes provas
3864266 Ano: 2024
Disciplina: Matemática
Banca: Avança SP
Orgão: Pref. Caçapava-SP
No hexágono regular a seguir: 

Enunciado 4842938-1

Indique o comprimento do segmento AC sabendo que o lado do hexágono mede L:
 

Provas

Questão presente nas seguintes provas
3864265 Ano: 2024
Disciplina: Matemática
Banca: Avança SP
Orgão: Pref. Caçapava-SP
Indique a equação da reta que intercepta a parábola −x2 + 3x − 4 no seu ponto de máximo e que tem inclinação igual a √3 /2
 

Provas

Questão presente nas seguintes provas