Foram encontradas 620 questões.
NAS QUESTÕES NUMERADAS DE 11 A 25, ASSINALE A ÚNICA ALTERNATIVA QUE RESPONDE CORRETAMENTE AO ENUNCIADO.
A área do formato de prancha A3 da ABNT em relação a do A1, é:
Provas
NAS QUESTÕES NUMERADAS DE 11 A 25, ASSINALE A ÚNICA ALTERNATIVA QUE RESPONDE CORRETAMENTE AO ENUNCIADO.
A somatória dos ângulos internos de uma poligonal fechada, de 9 vértices, é 1262º 30' 23". Determine o erro angular:
Provas
NAS QUESTÕES NUMERADAS DE 11 A 25, ASSINALE A ÚNICA ALTERNATIVA QUE RESPONDE CORRETAMENTE AO ENUNCIADO.
Considerando os métodos de obtenção de curvas de nível, é correto afirmar:
Provas
NAS QUESTÕES NUMERADAS DE 11 A 25, ASSINALE A ÚNICA ALTERNATIVA QUE RESPONDE CORRETAMENTE AO ENUNCIADO.
Num nivelamento geométrico, em determinado lugar, a altura do plano de visada (AI) foi igual a 112m e sobre um ponto foi lido na mira o valor de 1,5m. Calcular a cota deste ponto:
Provas
NAS QUESTÕES NUMERADAS DE 11 A 25, ASSINALE A ÚNICA ALTERNATIVA QUE RESPONDE CORRETAMENTE AO ENUNCIADO.
Se o Azimute de um alinhamento é 187º 45' 33", o rumo deste alinhamento será?
Provas
NAS QUESTÕES NUMERADAS DE 11 A 25, ASSINALE A ÚNICA ALTERNATIVA QUE RESPONDE CORRETAMENTE AO ENUNCIADO.
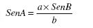
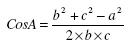
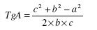
Num triângulo são dados três lados (a,b,c) e não se conhece nenhum dos ângulos (A, B, C) . O ângulo A será determinado pela seguinte expressão trigonométrica:

Provas
NAS QUESTÕES NUMERADAS DE 11 A 25, ASSINALE A ÚNICA ALTERNATIVA QUE RESPONDE CORRETAMENTE AO ENUNCIADO.
O ângulo interno B de uma poligonal foi medido com auxílio da estação total igual a 110º 20' 30". Para transformar este ângulo para grados, devemos:
Provas
NAS QUESTÕES NUMERADAS DE 11 A 25, ASSINALE A ÚNICA ALTERNATIVA QUE RESPONDE CORRETAMENTE AO ENUNCIADO.
Provas
NAS QUESTÕES NUMERADAS DE 11 A 25, ASSINALE A ÚNICA ALTERNATIVA QUE RESPONDE CORRETAMENTE AO ENUNCIADO.
Sobre a declinação magnética é correto afirmar:
Provas
NAS QUESTÕES NUMERADAS DE 11 A 25, ASSINALE A ÚNICA ALTERNATIVA QUE RESPONDE CORRETAMENTE AO ENUNCIADO.
Quanto representa no papel, na escala de 1:500, uma distância que no terreno mede 25m?
Provas
Caderno Container