Foram encontradas 40 questões.
No lançamento de dois dados não viciados, qual
a probabilidade de se obter uma soma menor que 8,
sabendo que as faces viradas para cima são números
pares?
Provas
Questão presente nas seguintes provas
Um jovem casal resolve que vai ter quatro
filhos. Qual a probabilidade de que todos os filhos
deste casal sejam do mesmo sexo?
Provas
Questão presente nas seguintes provas
Escrevendo-se todos os anagramas da palavra
EDITAR em pedaços de papel, cada anagrama em
um pedaço de papel diferente, dobrando os papeis e
colocando em uma urna, escolhendo-se ao acaso um
papel da urna, qual a probabilidade de que neste
papel esteja escrito um anagrama em que as vogais
estejam em ordem alfabética?
Provas
Questão presente nas seguintes provas
No lançamento de três moedas, anotando – se
as faces que ficaram viradas para cima. Qual a
probabilidade de que pelo menos uma face seja
diferente das outras?
Provas
Questão presente nas seguintes provas
Analise as notas, as médias e o desvio padrão de
dois alunos em uma olimpíada de matemática
realizada em 4 etapas, conforme o quadro abaixo.
Analisando as notas dos alunos, podemos afirmar que:
Analisando as notas dos alunos, podemos afirmar que:
Provas
Questão presente nas seguintes provas
Dado a distribuição de frequências: 9; 9; 4; 5; 2;
2; 8; 8; 1; 5. Qual o valor da mediana desta
distribuição?
Provas
Questão presente nas seguintes provas
Com relação à curtose, podemos afirmar, exceto
que:
Provas
Questão presente nas seguintes provas
Com relação ao cálculo de probabilidades
podemos afirmar, exceto:
Provas
Questão presente nas seguintes provas
Uma parte da população retirada para estudo e
que reflete as características da própria população é:
Provas
Questão presente nas seguintes provas
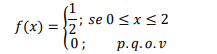
Com relação a função definida por mais de uma sentença a seguir,

Podemos afirmar que:
Provas
Questão presente nas seguintes provas
Cadernos
Caderno Container