Magna Concursos

Foram encontradas 35 questões.

3811313 Ano: 2024
Disciplina: Matemática
Banca: Itame
Orgão: Pref. Bonópolis-GO

A inflação acumulada ao longo de três anos consecutivos foi de 5%, 8% e 7%, respectivamente. Qual foi aproximadamente a inflação total ao final desses três anos?

 

Provas

Questão presente nas seguintes provas
3811312 Ano: 2024
Disciplina: Matemática Financeira
Banca: Itame
Orgão: Pref. Bonópolis-GO

Um investidor aplica R$ 10.000,00 em uma conta de poupança que oferece uma taxa de juros simples de 3% ao semestre. Após três e meio anos, qual será o saldo da conta?

 

Provas

Questão presente nas seguintes provas
3811311 Ano: 2024
Disciplina: Matemática
Banca: Itame
Orgão: Pref. Bonópolis-GO

Uma empresa calcula o custo de produção C (x) de um produto com base no número x de unidades produzidas usando a fórmula matemática: C (x) =Enunciado 4591418-1 Qual é aproximadamente o custo médio por unidade quando são produzidas cem unidades?

 

Provas

Questão presente nas seguintes provas
3811310 Ano: 2024
Disciplina: Matemática
Banca: Itame
Orgão: Pref. Bonópolis-GO

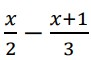
Qual é o quadrado da raiz da equação Enunciado 4591417-1 = Enunciado 4591417-2 ?

 

Provas

Questão presente nas seguintes provas
3811309 Ano: 2024
Disciplina: Matemática
Banca: Itame
Orgão: Pref. Bonópolis-GO
João possui um terreno de 360 m² que deseja dividir igualmente entre seus três filhos, mas antes disso, ele quer destinar 1/5 do terreno para uma área de lazer e 1/4 para uma horta. Quantos metros quadrados cada filho receberá?
 

Provas

Questão presente nas seguintes provas
3811308 Ano: 2024
Disciplina: Português
Banca: Itame
Orgão: Pref. Bonópolis-GO

Qual das figuras de linguagem listadas a seguir está presente nesses versos?

“Marcha o homem sobre o chão

Leva no coração uma ferida acesa

Dono do sim e do não

Diante da visão da infinita beleza” (Caetano Veloso)

 

Provas

Questão presente nas seguintes provas
3811307 Ano: 2024
Disciplina: Português
Banca: Itame
Orgão: Pref. Bonópolis-GO
Assinale a alternativa onde todas as palavras estão escritas corretamente.
 

Provas

Questão presente nas seguintes provas
3811306 Ano: 2024
Disciplina: Português
Banca: Itame
Orgão: Pref. Bonópolis-GO
Na frase “Filme brasileiro 'Ainda Estou Aqui' ganha prêmio de melhor roteiro no Festival de Veneza”, as palavras destacadas são, respectivamente:
 

Provas

Questão presente nas seguintes provas
3811305 Ano: 2024
Disciplina: Português
Banca: Itame
Orgão: Pref. Bonópolis-GO
Nos versos da música de Djavan: “No amor, a tortura está por um triz/ Mas a gente atura e até se mostra feliz”, os termos destacados devem ser classificados, respetivamente, como:
 

Provas

Questão presente nas seguintes provas
3811304 Ano: 2024
Disciplina: Português
Banca: Itame
Orgão: Pref. Bonópolis-GO

Assinale a alternativa que apresenta, respectivamente, a justificativa correta para acentuação das seguintes palavras: Enunciado 4591411-1

 

Provas

Questão presente nas seguintes provas