Foram encontradas 3.920 questões.
Disciplina: TI - Redes de Computadores
Banca: CESPE / CEBRASPE
Orgão: Pref. Boa Vista-RR
- Protocolos e ServiçosConfiguração de RedeDNS: Domain Name System
- Protocolos e ServiçosInternet e EmailHTTP: Hyper Text Transfer Protocol
Considere que durante um acesso à Internet um usuário clicou sobre um ícone que aponte para a página cujo URL é http://www.w3.org/hypertext/WWW/TheProject.html. Nessa situação, julgue os itens que seguem.
Provas
Disciplina: TI - Desenvolvimento de Sistemas
Banca: CESPE / CEBRASPE
Orgão: Pref. Boa Vista-RR

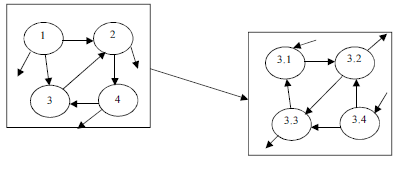
Considerando o fragmento de DFB mostrado na figura acima, julgue o item a seguir.
Esse fragmento de DFD está equilibrado.
Provas

Com base nessas informações, julgue os itens seguintes.
Considerando o modelo atualizado mostrado no item , é correto afirmar que: um item de locação pertence a várias locações; um item de locação contém um e somente um veículo; um veículo poderá estar contido em zero ou em vários itens de locação.
Provas

Com base nessas informações, julgue os itens seguintes.
De acordo com o modelo atualizado mostrado a seguir, um cliente faz de zero a várias locações; uma locação pertence a um e somente um cliente; uma locação possui de um a vários itens de locação.

Provas

Com base nessas informações, julgue os itens seguintes.

Provas
Disciplina: TI - Desenvolvimento de Sistemas
Banca: CESPE / CEBRASPE
Orgão: Pref. Boa Vista-RR
Acerca dos recursos e tecnologias utilizados na área de informática, julgue os seguintes itens.
ODBC, FAT, JVM e IRC correspondem, respectivamente, a um dos padrões para interfaceamento de bases de dados, que define interfaces Windows para serviços de bases de dados front-end e back-end; tabela de alocação de arquivos; peça de software que constitui uma interface entre um programa Java e o hardware utilizado por um sistema em uso, constituindo-se em um mecanismo que possibilita a portabilidade dessa linguagem; e chat bastante popular.
Provas
Acerca dos recursos e tecnologias utilizados na área de informática, julgue os seguintes itens.
RAID, spam, MySQL e EDI correspondem, respectivamente, a SGBD de código aberto, com base na arquitetura cliente-servidor; envio massivo de e-mails; tecnologia de armazenamento com base no emprego de mais de uma unidade de disco; e padrão utilizado para o intercâmbio de informações básicas comerciais.
Provas
Acerca dos recursos e tecnologias utilizados na área de informática, julgue os seguintes itens.
URI, PDF, tecnologia pull e tecnologia push, correspondem, respectivamente, a string de caracteres que identifica o tipo e a localização de um recurso da Internet; formato de arquivo da Adobe Systems que exige o Adobe Acrobat Reader, o PageMaker ou o Photoshop para a sua apresentação; empregado(a) para iniciar a entrega de conteúdo de um servidor Web para um cliente; e empregado(a) para permitir ao navegador recuperar informações de um servidor Web.
Provas
Disciplina: TI - Desenvolvimento de Sistemas
Banca: CESPE / CEBRASPE
Orgão: Pref. Boa Vista-RR
Acerca dos recursos e tecnologias utilizados na área de informática, julgue os seguintes itens.
DOM, MP3, SAX e MPEG correspondem, respectivamente, a interface de programação de aplicações que fornece um conjunto de objetos e métodos para representar documentos em HTML e XML; arquivo de som; interface de programação de aplicações para análise de XML com base em eventos; e formato de arquivo de vídeo.
Provas
Disciplina: TI - Redes de Computadores
Banca: CESPE / CEBRASPE
Orgão: Pref. Boa Vista-RR
Sistemas operacionais são softwares indispensáveis para o adequado gerenciamento de recursos de hardware, permitindo a alocação e a utilização de tais recursos por programas aplicativos de forma controlada. Ao longo do tempo, os sistemas operacionais têm evoluído de sistemas monousuário e monoprocessados a sistemas multiusuário, multitarefa e multiprocessados. Acerca desses sistemas, julgue os itens a seguir.
Computadores de pequeno porte podem ser agrupados em clusters de várias máquinas, exercendo funções que exigem alto desempenho computacional como se fossem uma única máquina de grande porte, com o uso do sistema operacional Linux e de bibliotecas para a troca de mensagens (por exemplo PVM e MPI), de livre distribuição. Um cluster pode ser constituído de vários nós escravos, controlados por um computador principal, ao qual se tem acesso direto, interligados por uma rede fast ethernet.
Provas
Caderno Container