Foram encontradas 256 questões.
Provas
Provas
Provas
Em uma loja de vestuário, duas promoções estão anunciadas:
• Promoção A: compre 3 vestidos, e pague 2 (não será pago o de menor valor)
• Promoção B: na compra de 5 vestidos, ganhe 15% de desconto no valor total
Ana decidiu comprar 5 vestidos, cujos valores indicados nas etiquetas eram de R$ 120,00, R$ 180,00, R$ 90,00, R$ 160,00 e R$ 230,00. No momento do pagamento, ela foi informada que deveria escolher por uma das duas promoções e acabou optando pelo pagamento considerando a Promoção A. Ela escolheu, de forma conveniente, três vestidos para pagar de acordo com a promoção e dois sem promoção. Pode-se afirmar que a escolha de Ana gerou uma economia a ela, em relação à escolha pela Promoção B, em reais, de:
Provas
I- Todo triângulo regular tem apenas ângulos internos agudos. II- Um triângulo isósceles pode ter um ângulo interno reto. III- É possível construir um triângulo com a medida de seus lados 3, 4 e 8 cm. IV- Um triângulo retângulo pode ter um ângulo interno obtuso.
Pode-se afirmar que são corretas:
Provas
Provas

Considerando que o quadro de funcionários seja composto por 3 gerentes, 6 técnicos, 2 auxiliares e 2 administrativos, pode-se afirmar que o salário de cada gerente é maior que média salarial da empresa, em reais, de:
Provas
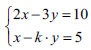
Dado o seguinte sistema linear
pode-se afirmar que este pode ser classificado como possível e
indeterminado se o valor de k for igual a:
Provas
Dada a figura a seguir, considere o retângulo com medidas de lado igual a 3 cm e 4 cm.

Pode-se afirmar que a área (em cm2
) marcada na figura é um valor entre:
Provas
Considere o gráfico apresentado:

Pode-se afirmar que o gráfico representa uma função:
Provas
Caderno Container