Magna Concursos

Foram encontradas 451 questões.

1288109 Ano: 2019
Disciplina: Direito Processual Civil
Banca: VUNESP
Orgão: Pref. Birigui-SP
Provas:
Assinale a alternativa correta acerca do que prevê a Lei nº 12.016/09 que disciplina o mandado de segurança individual e coletivo.
 

Provas

Questão presente nas seguintes provas
1182859 Ano: 2019
Disciplina: Engenharia Civil
Banca: VUNESP
Orgão: Pref. Birigui-SP
Provas:

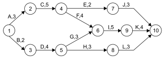
No cronograma de rede mostrado na figura, as atividades de um serviço de engenharia são representadas por letras, seguidas de seu tempo de execução, em dias.

Enunciado 3219461-1

A duração desse serviço de engenharia, em dias, é

 

Provas

Questão presente nas seguintes provas
1182858 Ano: 2019
Disciplina: Engenharia Civil
Banca: VUNESP
Orgão: Pref. Birigui-SP
Provas:

Para a execução de cintas em bloco de concreto canaleta com 19 cm de largura, utilizou-se a seguinte composição de custos unitários:

CINTA EM BLOCO DE CONCRETO CANALETA – 19 cm UNIDADE: METRO

Insumo

Unidade Quantidade

Custo

unitário

(R$)

Pedreiro

h

0,40

10,00

Servente

h

0,50

8,00

Areia

m3

0,15

130,00

Cimento

kg

6,50

0,60

Pedra brita 2

m3

0,02

100,00

Aço CA50

kg

0,50

4,20

Bloco de concreto

canaleta 19x19x39 cm

unidade

2,50

5,00

Ao executar 60 m desse tipo de cinta em bloco de concreto canaleta, considerando 125% de encargos sociais e 25% de BDI, o preço é

 

Provas

Questão presente nas seguintes provas
1182857 Ano: 2019
Disciplina: Engenharia Civil
Banca: VUNESP
Orgão: Pref. Birigui-SP
Provas:
A curva ABC é uma ferramenta de gerenciamento e controle das obras de construção civil. Usualmente os itens da classe A da curva ABC possuem alto valor correspondentes a
 

Provas

Questão presente nas seguintes provas
1182856 Ano: 2019
Disciplina: Engenharia Civil
Banca: VUNESP
Orgão: Pref. Birigui-SP
Provas:
Nas atividades de manutenção predial, deve-se garantir que os forros dos tetos suportem a ação da carga vertical correspondente ao objeto que se pretende fixar. Considerando-se as cargas de serviço para um forro quadrado, com vão de 3 m, o deslocamento vertical deve ser limitado em
 

Provas

Questão presente nas seguintes provas
1182855 Ano: 2019
Disciplina: Engenharia Civil
Banca: VUNESP
Orgão: Pref. Birigui-SP
Provas:
O comando do programa AutoCAD© utilizado para cortar parte de objetos ou entidades selecionadas por meio de fronteiras determinadas é
 

Provas

Questão presente nas seguintes provas
1182854 Ano: 2019
Disciplina: Engenharia Civil
Banca: VUNESP
Orgão: Pref. Birigui-SP
Provas:
Segundo a Lei Federal nº 10.257/2001, art. 10, os núcleos urbanos informais existentes, ocupados sem oposição, há mais de cinco anos são suscetíveis de serem usucapidos coletivamente, desde que os possuidores não sejam proprietários de outro imóvel urbano ou rural e cuja área total máxima dividida pelo número de possuidores seja
 

Provas

Questão presente nas seguintes provas
1182853 Ano: 2019
Disciplina: Engenharia Civil
Banca: VUNESP
Orgão: Pref. Birigui-SP
Provas:
Segundo a Lei Federal nº 10.257/2001, nos casos previstos de cobrança de IPTU progressivo, o valor da alíquota a ser aplicado a cada ano não deve exceder a duas vezes o valor referente ao ano anterior, respeitada a alíquota máxima de:
 

Provas

Questão presente nas seguintes provas
1182852 Ano: 2019
Disciplina: Direito do Consumidor
Banca: VUNESP
Orgão: Pref. Birigui-SP
Provas:
A oferta vem protegida pela legislação consumerista. Sobre tal tema, é correto afirmar que
 

Provas

Questão presente nas seguintes provas
1182851 Ano: 2019
Disciplina: Direito do Consumidor
Banca: VUNESP
Orgão: Pref. Birigui-SP
Provas:
Maria, necessitando fazer reparos em sua casa, faz um empréstimo bancário junto a instituição financeira XPTO, para tal fim. Após contrair dívida, verifica que a taxa de juros remuneratórios está acima da média do mercado e que o contrato não traz com clareza qual o valor dessas taxas e como tais cálculos seriam feitos mês a mês. A respeito dessa situação, é correto afirmar que
 

Provas

Questão presente nas seguintes provas