Foram encontradas 399 questões.
Um fotógrafo decidiu fotografar uma árvore de 35,7 metros de altura. Ele se posicionou à 20 metros
de distância, conforme figura abaixo.
Considere: sen60° ≅ 0,86; cos60° = 0,5; tg60° ≅ 1,7.
Qual a altura do fotógrafo?
Considere: sen60° ≅ 0,86; cos60° = 0,5; tg60° ≅ 1,7.
Qual a altura do fotógrafo?
Provas
Questão presente nas seguintes provas
Considere a função f: R → R cujo o gráfico está esboçado abaixo.
Qual é a lei de formação da função f?
Qual é a lei de formação da função f?
Provas
Questão presente nas seguintes provas
Observe as figuras I e II desenhadas sobre a malha quadriculada abaixo.
Analisando a imagem acima, podemos afirmar que:
Analisando a imagem acima, podemos afirmar que:
Provas
Questão presente nas seguintes provas
A malha quadriculada abaixo possui quadradinhos com lados medindo 3 cm.
Qual o perímetro da figura pintada de cinza?
Provas
Questão presente nas seguintes provas
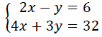
Observe o sistema de equações do 1º grau abaixo

Qual é o conjunto solução desse sistema de equações?
Provas
Questão presente nas seguintes provas
Leia com atenção o texto a seguir para responder a questão.
Viver em sociedade
Assinale a afirmação INCORRETA.Viver em sociedade
Dalmo de Abreu Dallari
A sociedade humana é um conjunto de pessoas ligadas pela necessidade de se ajudarem umas às outras, __________ que possam garantir a continuidade da vida e satisfazer seus interesses e desejos.
Sem vida em sociedade, as pessoas não conseguiriam sobreviver, pois o ser humano, durante muito tempo, necessita de outros para conseguir alimentação e abrigo. E no mundo moderno, com a grande maioria das pessoas morando na cidade, com hábitos que tornam necessários muitos bens produzidos pela indústria, não _____ quem não necessite dos outros muitas vezes por dia.
Mas as necessidades dos seres humanos não são apenas de ordem material, como os alimentos, a roupa, a moradia, os meios de transporte e os cuidados de saúde. Elas são também de ordem espiritual e psicológica. Toda pessoa humana necessita de afeto, precisa amar e sentir-se amada, quer sempre que alguém lhe dê atenção e que todos a respeitem. Além disso, todo ser humano tem suas crenças, tem sua fé em alguma coisa, que é a base de suas esperanças.
Os seres humanos não vivem juntos, não vivem em sociedade, apenas __________ escolhem esse modo de vida, mas __________ a vida em sociedade é uma necessidade da natureza humana. Assim, por exemplo, se dependesse apenas da vontade, seria possível uma pessoa muito rica isolar-se em algum lugar, onde tivesse armazenado grande quantidade de alimentos. Mas essa pessoa estaria, em pouco tempo, sentindo falta de companhia, sofrendo a tristeza da solidão, precisando de alguém com quem falar e trocar ideias, necessitada de dar e receber afeto. E muito provavelmente ficaria louca se continuasse sozinha por muito tempo.
Mas, justamente __________ vivendo em sociedade é que a pessoa humana pode satisfazer suas necessidades, é preciso que a sociedade seja organizada de tal modo que sirva, realmente, para esse fim. E não basta que a vida social permita apenas a satisfação de algumas necessidades da pessoa humana ou de todas as necessidades de apenas algumas pessoas. A sociedade organizada com justiça é aquela em que se procura fazer com que todas as pessoas possam satisfazer todas as suas necessidades, é aquela em que todos, desde o momento em que nascem, têm as mesmas oportunidades, aquela em que os benefícios e encargos são repartidos igualmente entre todos.
Para que essa repartição se faça com justiça, é preciso que todos procurem conhecer seus direitos e exijam que eles sejam respeitados, como também devem conhecer e cumprir seus deveres e suas responsabilidades sociais.
Sem vida em sociedade, as pessoas não conseguiriam sobreviver, pois o ser humano, durante muito tempo, necessita de outros para conseguir alimentação e abrigo. E no mundo moderno, com a grande maioria das pessoas morando na cidade, com hábitos que tornam necessários muitos bens produzidos pela indústria, não _____ quem não necessite dos outros muitas vezes por dia.
Mas as necessidades dos seres humanos não são apenas de ordem material, como os alimentos, a roupa, a moradia, os meios de transporte e os cuidados de saúde. Elas são também de ordem espiritual e psicológica. Toda pessoa humana necessita de afeto, precisa amar e sentir-se amada, quer sempre que alguém lhe dê atenção e que todos a respeitem. Além disso, todo ser humano tem suas crenças, tem sua fé em alguma coisa, que é a base de suas esperanças.
Os seres humanos não vivem juntos, não vivem em sociedade, apenas __________ escolhem esse modo de vida, mas __________ a vida em sociedade é uma necessidade da natureza humana. Assim, por exemplo, se dependesse apenas da vontade, seria possível uma pessoa muito rica isolar-se em algum lugar, onde tivesse armazenado grande quantidade de alimentos. Mas essa pessoa estaria, em pouco tempo, sentindo falta de companhia, sofrendo a tristeza da solidão, precisando de alguém com quem falar e trocar ideias, necessitada de dar e receber afeto. E muito provavelmente ficaria louca se continuasse sozinha por muito tempo.
Mas, justamente __________ vivendo em sociedade é que a pessoa humana pode satisfazer suas necessidades, é preciso que a sociedade seja organizada de tal modo que sirva, realmente, para esse fim. E não basta que a vida social permita apenas a satisfação de algumas necessidades da pessoa humana ou de todas as necessidades de apenas algumas pessoas. A sociedade organizada com justiça é aquela em que se procura fazer com que todas as pessoas possam satisfazer todas as suas necessidades, é aquela em que todos, desde o momento em que nascem, têm as mesmas oportunidades, aquela em que os benefícios e encargos são repartidos igualmente entre todos.
Para que essa repartição se faça com justiça, é preciso que todos procurem conhecer seus direitos e exijam que eles sejam respeitados, como também devem conhecer e cumprir seus deveres e suas responsabilidades sociais.
Provas
Questão presente nas seguintes provas
Assinale a alternativa CORRETA quanto à correspondência entre o substantivo e seu respectivo
grau diminutivo e aumentativo.
Provas
Questão presente nas seguintes provas
Leia a tira para responder à questão que segue.

Assinale a alternativa em que a expressão destacada esteja empregada em seu sentido denotativo.
Provas
Questão presente nas seguintes provas
Identifique a alternativa em que a voz verbal foi classificada de forma INCORRETA.
Provas
Questão presente nas seguintes provas
Dos termos destacados nas frases abaixo, o único que está INADEQUADO ao contexto ocorre em:
Provas
Questão presente nas seguintes provas
Cadernos
Caderno Container