Foram encontradas 180 questões.
- GeometriaGeometria PlanaTriângulosTriângulos RetângulosRelações Métricas no Triângulo Retângulo
- GeometriaGeometria PlanaCircunferências e Círculos
- GeometriaGeometria PlanaÁreas e Perímetros

Provas
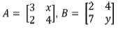
Marque a alternativa que apresenta os valores de
x e y, respectivamente, para que a soma das matrizes
A e B seja 

Provas
Provas
Observe a sequência e marque a alternativa que apresente o valor de X:
1/2 , 3/2 , X
Provas
UM HOMEM DE CONSCIÊNCIA
Chamava-se João Teodoro, só. O mais pacato e modesto dos homens. Honestíssimo e lealíssimo, com um defeito apenas: não dar o mínimo valor a si próprio. Para João Teodoro, a coisa de menos importância no mundo era João Teodoro.
Nunca fora nada na vida, nem admitia a hipótese de vir a ser alguma coisa. E por muito tempo não quis nem sequer o que todos ali queriam: mudar-se para terra melhor.
Mas João Teodoro acompanhava com aperto de coração o desaparecimento visível de sua Itaoca.
- Isto já foi muito melhor, dizia consigo. Já teve três médicos bem bons - agora só um e bem ruinzote. Já teve seis advogados e hoje mal dá serviço para rábula ordinário como Tenório. Nem circo de cavalinhos bate mais por aqui.
A gente que presta se muda. Fica o restolho. Decididamente, a minha Itaoca está se acabando...
João Teodoro entrou a incubar a ideia de também mudarse, mas para isso necessitava dum fato qualquer que o convencesse de maneira absoluta de que Itaoca não tinha mesmo conserto ou arranjo possível.
- É isso, deliberou lá por dentro. Quando eu verificar que tudo está perdido, que Itaoca não vale mais nada de nada, então arrumo a trouxa e boto-me fora daqui.
Um dia aconteceu a grande novidade: a nomeação de João Teodoro para delegado. Nosso homem recebeu a notícia como se fosse uma porretada no crâneo. Delegado, ele! Ele que não era nada, nunca fora nada, não queria nada, não se julgava capaz de nada...
Ser delegado numa cidadinha daquelas é coisa seríssima. Não há cargo mais importante. É o homem que prende os outros, que solta, que manda dar sovas, que vai à capital falar com o governo. Uma coisa colossal ser delegado - e estava ele, João Teodoro, de-le-ga-do de Itaoca...
João Teodoro caiu em meditação profunda. Passou a noite em claro, pensando e arrumando as malas. Pela madrugada botou-as num burro, montou seu cavalinho magro e partiu.
Antes de deixar a cidade foi visto por um amigo madrugador.
- Que é isso, João? Para onde se atira tão cedo, assim de armas e bagagens?
- Vou-me embora, respondeu o retirante. Verifiquei que Itaoca chegou mesmo ao fim.
- Mas, como? Agora que você está delegado?
- Justamente por isso. Terra em que João Teodoro chega a delegado, eu não moro. Adeus.
E sumiu.
(LOBATO, Monteiro. “Conto de Cidades Mortas”. In www. gotasdeliteraturabrasileira.blogspot.com)
Provas
O PADEIRO
Levanto cedo, faço minhas abluções, ponho a chaleira no fogo para fazer café e abro a porta do apartamento - mas não encontro o pão costumeiro. No mesmo instante me lembro de ter lido alguma coisa nos jornais da véspera sobre a “greve do pão dormido”. De resto não é bem uma greve, é um lock-out, greve dos patrões, que suspenderam o trabalho noturno; acham que obrigando o povo a tomar seu café da manhã com pão dormido conseguirão não sei bem o que do governo.
Está bem. Tomo o meu café com pão dormido, que não é tão ruim assim. E enquanto tomo café vou me lembrando de um homem modesto que conheci antigamente. Quando vinha deixar o pão à porta do apartamento ele apertava a campainha, mas, para não incomodar os moradores, avisava gritando:
- Não é ninguém, é o padeiro!
Interroguei-o uma vez: como tivera a ideia de gritar aquilo? “Então você não é ninguém?”
Ele abriu um sorriso largo. Explicou que aprendera aquilo de ouvido. Muitas vezes lhe acontecera bater a campainha de uma casa e ser atendido por uma empregada ou outra pessoa qualquer, e ouvir uma voz que vinha lá de dentro perguntando quem era; e ouvir a pessoa que o atendera dizer para dentro: “não é ninguém, não senhora, é o padeiro”. Assim ficara sabendo que não era ninguém...
Ele me contou isso sem mágoa nenhuma, e se despediu ainda sorrindo. Eu não quis detê-lo para explicar que estava falando com um colega, ainda que menos importante. Naquele tempo eu também, como os padeiros, fazia o trabalho noturno. Era pela madrugada que deixava a redação de jornal, quase sempre depois de uma passagem pela oficina - e muitas vezes saía já levando na mão um dos primeiros exemplares rodados, o jornal ainda quentinho da máquina, como pão saído do forno.
Ah, eu era rapaz, eu era rapaz naquele tempo! E às vezes me julgava importante porque no jornal que levava para casa, além de reportagens ou notas que eu escrevera sem assinar, ia uma crônica ou artigo com o meu nome. O jornal e o pão estariam bem cedinho na porta de cada lar; e dentro do meu coração eu recebi a lição de humildade daquele homem entre todos útil e entre todos alegre; “não é ninguém, é o padeiro!”
E assobiava pelas escadas.
(Rubem Braga)
Provas
UM HOMEM DE CONSCIÊNCIA
Chamava-se João Teodoro, só. O mais pacato e modesto dos homens. Honestíssimo e lealíssimo, com um defeito apenas: não dar o mínimo valor a si próprio. Para João Teodoro, a coisa de menos importância no mundo era João Teodoro.
Nunca fora nada na vida, nem admitia a hipótese de vir a ser alguma coisa. E por muito tempo não quis nem sequer o que todos ali queriam: mudar-se para terra melhor.
Mas João Teodoro acompanhava com aperto de coração o desaparecimento visível de sua Itaoca.
- Isto já foi muito melhor, dizia consigo. Já teve três médicos bem bons - agora só um e bem ruinzote. Já teve seis advogados e hoje mal dá serviço para rábula ordinário como Tenório. Nem circo de cavalinhos bate mais por aqui.
A gente que presta se muda. Fica o restolho. Decididamente, a minha Itaoca está se acabando...
João Teodoro entrou a incubar a ideia de também mudarse, mas para isso necessitava dum fato qualquer que o convencesse de maneira absoluta de que Itaoca não tinha mesmo conserto ou arranjo possível.
- É isso, deliberou lá por dentro. Quando eu verificar que tudo está perdido, que Itaoca não vale mais nada de nada, então arrumo a trouxa e boto-me fora daqui.
Um dia aconteceu a grande novidade: a nomeação de João Teodoro para delegado. Nosso homem recebeu a notícia como se fosse uma porretada no crâneo. Delegado, ele! Ele que não era nada, nunca fora nada, não queria nada, não se julgava capaz de nada...
Ser delegado numa cidadinha daquelas é coisa seríssima. Não há cargo mais importante. É o homem que prende os outros, que solta, que manda dar sovas, que vai à capital falar com o governo. Uma coisa colossal ser delegado - e estava ele, João Teodoro, de-le-ga-do de Itaoca...
João Teodoro caiu em meditação profunda. Passou a noite em claro, pensando e arrumando as malas. Pela madrugada botou-as num burro, montou seu cavalinho magro e partiu.
Antes de deixar a cidade foi visto por um amigo madrugador.
- Que é isso, João? Para onde se atira tão cedo, assim de armas e bagagens?
- Vou-me embora, respondeu o retirante. Verifiquei que Itaoca chegou mesmo ao fim.
- Mas, como? Agora que você está delegado?
- Justamente por isso. Terra em que João Teodoro chega a delegado, eu não moro. Adeus.
E sumiu.
(LOBATO, Monteiro. “Conto de Cidades Mortas”. In www. gotasdeliteraturabrasileira.blogspot.com)
Provas
UM HOMEM DE CONSCIÊNCIA
Chamava-se João Teodoro, só. O mais pacato e modesto dos homens. Honestíssimo e lealíssimo, com um defeito apenas: não dar o mínimo valor a si próprio. Para João Teodoro, a coisa de menos importância no mundo era João Teodoro.
Nunca fora nada na vida, nem admitia a hipótese de vir a ser alguma coisa. E por muito tempo não quis nem sequer o que todos ali queriam: mudar-se para terra melhor.
Mas João Teodoro acompanhava com aperto de coração o desaparecimento visível de sua Itaoca.
- Isto já foi muito melhor, dizia consigo. Já teve três médicos bem bons - agora só um e bem ruinzote. Já teve seis advogados e hoje mal dá serviço para rábula ordinário como Tenório. Nem circo de cavalinhos bate mais por aqui.
A gente que presta se muda. Fica o restolho. Decididamente, a minha Itaoca está se acabando...
João Teodoro entrou a incubar a ideia de também mudarse, mas para isso necessitava dum fato qualquer que o convencesse de maneira absoluta de que Itaoca não tinha mesmo conserto ou arranjo possível.
- É isso, deliberou lá por dentro. Quando eu verificar que tudo está perdido, que Itaoca não vale mais nada de nada, então arrumo a trouxa e boto-me fora daqui.
Um dia aconteceu a grande novidade: a nomeação de João Teodoro para delegado. Nosso homem recebeu a notícia como se fosse uma porretada no crâneo. Delegado, ele! Ele que não era nada, nunca fora nada, não queria nada, não se julgava capaz de nada...
Ser delegado numa cidadinha daquelas é coisa seríssima. Não há cargo mais importante. É o homem que prende os outros, que solta, que manda dar sovas, que vai à capital falar com o governo. Uma coisa colossal ser delegado - e estava ele, João Teodoro, de-le-ga-do de Itaoca...
João Teodoro caiu em meditação profunda. Passou a noite em claro, pensando e arrumando as malas. Pela madrugada botou-as num burro, montou seu cavalinho magro e partiu.
Antes de deixar a cidade foi visto por um amigo madrugador.
- Que é isso, João? Para onde se atira tão cedo, assim de armas e bagagens?
- Vou-me embora, respondeu o retirante. Verifiquei que Itaoca chegou mesmo ao fim.
- Mas, como? Agora que você está delegado?
- Justamente por isso. Terra em que João Teodoro chega a delegado, eu não moro. Adeus.
E sumiu.
(LOBATO, Monteiro. “Conto de Cidades Mortas”. In www. gotasdeliteraturabrasileira.blogspot.com)
Provas
O PADEIRO
Levanto cedo, faço minhas abluções, ponho a chaleira no fogo para fazer café e abro a porta do apartamento - mas não encontro o pão costumeiro. No mesmo instante me lembro de ter lido alguma coisa nos jornais da véspera sobre a “greve do pão dormido”. De resto não é bem uma greve, é um lock-out, greve dos patrões, que suspenderam o trabalho noturno; acham que obrigando o povo a tomar seu café da manhã com pão dormido conseguirão não sei bem o que do governo.
Está bem. Tomo o meu café com pão dormido, que não é tão ruim assim. E enquanto tomo café vou me lembrando de um homem modesto que conheci antigamente. Quando vinha deixar o pão à porta do apartamento ele apertava a campainha, mas, para não incomodar os moradores, avisava gritando:
- Não é ninguém, é o padeiro!
Interroguei-o uma vez: como tivera a ideia de gritar aquilo? “Então você não é ninguém?”
Ele abriu um sorriso largo. Explicou que aprendera aquilo de ouvido. Muitas vezes lhe acontecera bater a campainha de uma casa e ser atendido por uma empregada ou outra pessoa qualquer, e ouvir uma voz que vinha lá de dentro perguntando quem era; e ouvir a pessoa que o atendera dizer para dentro: “não é ninguém, não senhora, é o padeiro”. Assim ficara sabendo que não era ninguém...
Ele me contou isso sem mágoa nenhuma, e se despediu ainda sorrindo. Eu não quis detê-lo para explicar que estava falando com um colega, ainda que menos importante. Naquele tempo eu também, como os padeiros, fazia o trabalho noturno. Era pela madrugada que deixava a redação de jornal, quase sempre depois de uma passagem pela oficina - e muitas vezes saía já levando na mão um dos primeiros exemplares rodados, o jornal ainda quentinho da máquina, como pão saído do forno.
Ah, eu era rapaz, eu era rapaz naquele tempo! E às vezes me julgava importante porque no jornal que levava para casa, além de reportagens ou notas que eu escrevera sem assinar, ia uma crônica ou artigo com o meu nome. O jornal e o pão estariam bem cedinho na porta de cada lar; e dentro do meu coração eu recebi a lição de humildade daquele homem entre todos útil e entre todos alegre; “não é ninguém, é o padeiro!”
E assobiava pelas escadas.
(Rubem Braga)
“Levanto cedo, faço minhas abluções, ponho a chaleira no fogo para fazer café e abro a porta do apartamento - MAS não encontro o pão costumeiro.”
No trecho extraído do texto, a conjunção em destaque pode ser substituída, sem alterar o sentido da oração, por:
Provas
O PADEIRO
Levanto cedo, faço minhas abluções, ponho a chaleira no fogo para fazer café e abro a porta do apartamento - mas não encontro o pão costumeiro. No mesmo instante me lembro de ter lido alguma coisa nos jornais da véspera sobre a “greve do pão dormido”. De resto não é bem uma greve, é um lock-out, greve dos patrões, que suspenderam o trabalho noturno; acham que obrigando o povo a tomar seu café da manhã com pão dormido conseguirão não sei bem o que do governo.
Está bem. Tomo o meu café com pão dormido, que não é tão ruim assim. E enquanto tomo café vou me lembrando de um homem modesto que conheci antigamente. Quando vinha deixar o pão à porta do apartamento ele apertava a campainha, mas, para não incomodar os moradores, avisava gritando:
- Não é ninguém, é o padeiro!
Interroguei-o uma vez: como tivera a ideia de gritar aquilo? “Então você não é ninguém?”
Ele abriu um sorriso largo. Explicou que aprendera aquilo de ouvido. Muitas vezes lhe acontecera bater a campainha de uma casa e ser atendido por uma empregada ou outra pessoa qualquer, e ouvir uma voz que vinha lá de dentro perguntando quem era; e ouvir a pessoa que o atendera dizer para dentro: “não é ninguém, não senhora, é o padeiro”. Assim ficara sabendo que não era ninguém...
Ele me contou isso sem mágoa nenhuma, e se despediu ainda sorrindo. Eu não quis detê-lo para explicar que estava falando com um colega, ainda que menos importante. Naquele tempo eu também, como os padeiros, fazia o trabalho noturno. Era pela madrugada que deixava a redação de jornal, quase sempre depois de uma passagem pela oficina - e muitas vezes saía já levando na mão um dos primeiros exemplares rodados, o jornal ainda quentinho da máquina, como pão saído do forno.
Ah, eu era rapaz, eu era rapaz naquele tempo! E às vezes me julgava importante porque no jornal que levava para casa, além de reportagens ou notas que eu escrevera sem assinar, ia uma crônica ou artigo com o meu nome. O jornal e o pão estariam bem cedinho na porta de cada lar; e dentro do meu coração eu recebi a lição de humildade daquele homem entre todos útil e entre todos alegre; “não é ninguém, é o padeiro!”
E assobiava pelas escadas.
(Rubem Braga)
Provas
Caderno Container