Foram encontradas 630 questões.

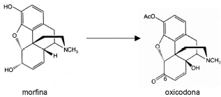
Com base nas representações estruturais fornecidas, as reações usadas para a obtenção da oxicodona, analgésico derivado da morfina, são apresentadas como
Provas
Assinale a opção correta a respeito do metabolismo hepático dos fármacos.
Provas
Um fármaco que se liga a um local diferente daquele ocupado pelo agonista e aumenta a afinidade do receptor por esse mesmo agonista é chamado de
Provas
Julgue os itens subsequentes, relativos a fatores que interferem, de forma significativa, na expressão das enzimas responsáveis pelo metabolismo de fármacos.
I A lesão hepática é incapaz de afetar a expressão das enzimas responsáveis pelo metabolismo de fármacos.
II A exposição a compostos exógenos é capaz de modular, de forma significativa, a atividade da maioria das enzimas que metabolizam fármacos.
III O pKa é o valor de pH em que metade das moléculas de um fármaco está ionizada, de modo que esse fator não afeta a expressão de enzimas hepáticas.
IV O polimorfismo genético não é capaz de alterar a atividade das enzimas que metabolizam os fármacos.
Estão certos apenas os itens
Provas
São fatores que interferem na taxa de depuração sistêmica de um fármaco:
I concentração plasmática do fármaco;
II ligação a proteína;
III taxa de extração;
IV taxa de apresentação do fármaco para o órgão de excreção.
Assinale a opção correta.
Provas
É um sedativo cujo mecanismo de ação está relacionado à ligação com receptores alfa-adrenérgicos o fármaco
Provas
No que se refere ao uso de neurofármacos, assinale a opção correta.
Provas
Em consulta de rotina, um paciente que faz uso do antidepressivo tricíclico amitriptilina queixou-se de sonolência ao médico.
Nessa situação, o efeito mencionado pelo paciente deve-se à ação do fármaco sobre
Provas
São vias cuja taxa de excreção é clinicamente relevante:
I a biliar;
II a fecal;
III a pulmonar;
IV a renal.
Assinale a opção correta.
Provas
Constituem etapas da farmacocinética:
I absorção;
II excreção;
III distribuição;
IV metabolismo.
Provas
Caderno Container