Foram encontradas 630 questões.
A respeito de equipamentos para a interconexão de redes de computadores, assinale a opção correta.
Provas
É correto afirmar que, na comutação de pacotes,
Provas
Disciplina: TI - Desenvolvimento de Sistemas
Banca: CESPE / CEBRASPE
Orgão: POLITEC-RO
O autômato finito determinístico
Provas
Disciplina: TI - Desenvolvimento de Sistemas
Banca: CESPE / CEBRASPE
Orgão: POLITEC-RO
- Fundamentos de ProgramaçãoAlgoritmosAlgoritmos de OrdenaçãoBubble Sort
- Fundamentos de ProgramaçãoAlgoritmosDefinição de Algoritmo
- Fundamentos de ProgramaçãoLógica de Programação
ALGORITMO ordem
ENTRADA: um vetor V com N posições
SAÍDA: o vetor V em ordem crescente
PARA i = 1 até n - 1
PARA j = 0 até n – 1 - i
SE V[ j ] > V[ j+1 ]
AUX = V[ j ]
V[ j ] = V[ j+1 ]
V[ j+1 ] = AUX
FIM {ordem}
O método de ordenação utilizado no algoritmo precedente denomina-se
Provas
Disciplina: TI - Desenvolvimento de Sistemas
Banca: CESPE / CEBRASPE
Orgão: POLITEC-RO
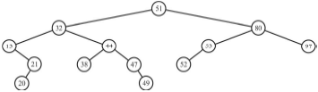
Assinale a opção em que é apresentada a sequência correta de números correspondente à varredura da árvore binária representada a seguir quando esta estiver sendo percorrida em profundidade por meio da utilização da técnica do tipo pré-ordem.

Provas
Disciplina: TI - Desenvolvimento de Sistemas
Banca: CESPE / CEBRASPE
Orgão: POLITEC-RO
- Compilação e Interpretação de CódigoCódigo Objeto
- Compilação e Interpretação de CódigoCompilação
- Compilação e Interpretação de CódigoLinkedição (Linker)
A função de reunir procedimentos traduzidos em separado e juntá-los para que sejam executados como uma unidade, denominada programa binário executável, é realizada pelo
Provas
Disciplina: TI - Desenvolvimento de Sistemas
Banca: CESPE / CEBRASPE
Orgão: POLITEC-RO
- Paradigmas de ProgramaçãoOrientação a ObjetosAnálise e Projeto Orientado a Objetos
- Paradigmas de ProgramaçãoOrientação a ObjetosOrientação a Objetos: Métodos
Na programação orientada a objetos, o mecanismo pelo qual dois métodos de mesma classe podem ter mesmo nome, desde que suas listas de parâmetros sejam diferentes, é chamado de
Provas
Disciplina: TI - Segurança da Informação
Banca: CESPE / CEBRASPE
Orgão: POLITEC-RO
A análise de código malicioso realizada pelo perito por meio da execução do código suspeito em ambiente de sandbox e de sua observação é a análise
Provas
Corresponde a uma tecnologia de bancos de dados voltada ao armazenamento de grandes volumes de dados com flexibilidade e relaxamento de algumas restrições de consistência de dados, no contexto de big data,
Provas
Em uma arquitetura de três esquemas de banco de dados, o nível que descreve a estrutura de todo o banco de dados para uma comunidade de usuários com foco na descrição de entidades, tipos de dados, relacionamentos, operações do usuário e restrições é denominado
Provas
Caderno Container