Foram encontradas 820 questões.
Considere que a porosidade de uma rocha reservatório seja uma variável aleatória contínua — X — que se distribui de acordo com a função de distribuição acumulada
A partir dessas informações, assinale a opção incorreta.
Provas
Acerca dos determinantes das matrizes linha-equivalentes
assinale a opção correta.
Provas
Um município é composto por uma região urbana e por uma região de entorno, a região rural. Na região urbana vivem, hoje, 700 mil pessoas, e 300 mil na região rural. A cada ano, 10% dos moradores da região urbana se mudam para a região rural, e 15% das pessoas que vivem na região rural se mudam para a região urbana. Represente por ReUrb o número de habitantes na região urbana e por ReRur o número de habitantes da região rural. Nessas condições o número de habitantes
Provas
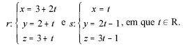
Considere, em R3 , as retas r e s dadas parametricamente por,

Se (a, b, c) é o ponto de interseção dessas duas retas, então a + b + c é igual a
Provas
Considerando-se um botijão de gás para uso doméstico, cuja composição seja equivalente a 40% de propano e 60% de n- butano, em termos de quantidade de matéria, e assumindose uma temperatura de ebulição adiabática de 2.550 ºF para a mistura e temperatura inicial de 60 ºF, o limite inferior de inflamabilidade é
Provas
Para a descarga de ar através da válvula de um cilindro, o quociente crítico de pressão em uma transformação isentrópica a 273 K, em que γ = 1,4 nas condições críticas, é
Provas
Considerando que a figura acima represente um ciclo de refrigeração, a eficiência máxima alcançada por um refrigerador, necessária para manter um sistema a 0 ºC em um ambiente a 180º C, é de
Provas

Em relação à figura acima, que representa o teor de umidade de equilíbrio a 25 ºC para o sulfato de cobre, assinale a opção que contém um valor de pressão de vapor do secante compatível com a formação de CuSO 4 A H 2 O.
Provas
A figura a seguir ilustra um trocador de calor que opera com arranjo em correntes paralelas.

Considere que os calores específicos dos fluidos não variem com a temperatura, que os coeficientes de transferência de calor por convecção sejam constantes ao longo de todo o trocador de calor e que a variação de temperatura do fluido A não supere a variação de temperatura do fluido B em mais de 50%.
Nessa situação, representando-se por DMTLP a diferença média logarítmica de temperatura no caso de o trocador de calor estar operando com arranjo em correntes paralelas e por DMTLC a diferença média logarítmica de temperatura no caso de o trocador de calor estar operando com arranjo em contracorrente, assinale a opção correta.
Provas
Disciplina: Engenharia Ambiental e Sanitária
Banca: CESPE / CEBRASPE
Orgão: Petrobrás

Provas
Caderno Container