Foram encontradas 3.167 questões.

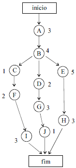
Considere que uma empresa deva executar uma obra para montagem de um conjunto de oleodutos para interligar uma refinaria a um centro de consumo. Considere ainda que a empresa tenha apresentado a lista de atividades a serem executadas na forma de PERT/CPM, conforme mostra a figura ao lado. Nessa figura, dentro de cada círculo, a letra indica a atividade, enquanto o número ao lado representa a duração da atividade em número de dias. Com base na rede PERT/CPM apresentada, julgue o item a seguir.
O caminho crítico da rede é o descrito por início-A-B-D-G-J-fim.
Provas

A figura acima apresenta o conjunto das disciplinas de gerência do projeto propostas no âmbito do modelo PMBOK. Nesse modelo, a cada disciplina são associados conjuntos de processos de trabalho, informações e artefatos de entrada e saída, além de técnicas e métodos específicos de cada disciplina. Considerando essas informações, julgue o item a seguir, acerca das possibilidades de execução de um projeto hipotético.
A análise quantitativa de riscos é, em geral, mais facilmente implantada que a análise qualitativa de riscos, e, por isso, propõe-se que a primeira seja realizada antes da segunda.
Provas

A figura acima apresenta o conjunto das disciplinas de gerência do projeto propostas no âmbito do modelo PMBOK. Nesse modelo, a cada disciplina são associados conjuntos de processos de trabalho, informações e artefatos de entrada e saída, além de técnicas e métodos específicos de cada disciplina. Considerando essas informações, julgue o item a seguir, acerca das possibilidades de execução de um projeto hipotético.
O controle de riscos do projeto é atividade ou processo que se sobrepõe temporalmente ao desenvolvimento do plano de projeto, sendo ambas as atividades realizadas em fases distintas do ciclo de vida de gerenciamento do projeto.
Provas

Internet: <www.estwindconsulting.com> (com adaptações).
Considerando a figura acima, que apresenta um diagrama relacionado com gerenciamento de projetos, julgue o item seguinte.
De acordo com o diagrama, a estimativa de um fluxo de recursos financeiros do projeto deve ser elaborada após a estimativa de alocação de recursos necessários à execução das tarefas.
Provas

A figura acima apresenta o conjunto das disciplinas de gerência do projeto propostas no âmbito do modelo PMBOK. Nesse modelo, a cada disciplina são associados conjuntos de processos de trabalho, informações e artefatos de entrada e saída, além de técnicas e métodos específicos de cada disciplina. Considerando essas informações, julgue o item a seguir, acerca das possibilidades de execução de um projeto hipotético.
A contratação de seguro para o caso de perda ou roubo de equipamentos usados para a realização do projeto é caracterizada como uma técnica de eliminação de riscos.
Provas

A figura acima apresenta o conjunto das disciplinas de gerência do projeto propostas no âmbito do modelo PMBOK. Nesse modelo, a cada disciplina são associados conjuntos de processos de trabalho, informações e artefatos de entrada e saída, além de técnicas e métodos específicos de cada disciplina. Considerando essas informações, julgue o item a seguir, acerca das possibilidades de execução de um projeto hipotético.
A verificação do escopo do projeto, por ser um processo de inspeção e aceite formal, é uma atividade da disciplina de gerência da qualidade.
Provas

A figura acima apresenta o conjunto das disciplinas de gerência do projeto propostas no âmbito do modelo PMBOK. Nesse modelo, a cada disciplina são associados conjuntos de processos de trabalho, informações e artefatos de entrada e saída, além de técnicas e métodos específicos de cada disciplina. Considerando essas informações, julgue o item a seguir, acerca das possibilidades de execução de um projeto hipotético.
A atualização da estrutura analítica do projeto é realizada no âmbito dos processos da disciplina #11.
Provas

Internet: <www.estwindconsulting.com> (com adaptações).
Considerando a figura acima, que apresenta um diagrama relacionado com gerenciamento de projetos, julgue o item seguinte.
A definição dos pacotes de trabalho do projeto deve ser efetuada antes da definição dos marcos do projeto.
Provas

A figura acima apresenta o conjunto das disciplinas de gerência do projeto propostas no âmbito do modelo PMBOK. Nesse modelo, a cada disciplina são associados conjuntos de processos de trabalho, informações e artefatos de entrada e saída, além de técnicas e métodos específicos de cada disciplina. Considerando essas informações, julgue o item a seguir, acerca das possibilidades de execução de um projeto hipotético.
A estimativa das necessidades de recursos financeiros do projeto ao longo de seu ciclo de vida depende da estimativa de alocação de recursos necessários à execução das tarefas.
Provas
A escala cartográfica corresponde a uma relação de proporção entre o tamanho do objeto que está representado no mapa e o tamanho real desse objeto no terreno. As escalas podem ser indicadas nas formas numérica e(ou) gráfica. Julgue os itens seguintes, relativos a escala cartográfica.
Em um mapa na escala de 1:10.000, 1 cm no mapa corresponde a 100 m no terreno.
Provas
Caderno Container