Foram encontradas 70 questões.
O mapa de Karnaugh, apresentado na Figura a seguir, mostra o comportamento de um circuito digital com entradas A, B, C, D e saída W.

A expressão booleana que está representada através do mapa de Karnaugh é
Provas
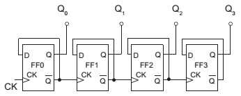
Contadores são circuitos digitais amplamente utilizados para manipulação de dados e são construídos a partir da ligação de flip-flops em cascata. A Figura a seguir mostra um exemplo de contador.

Em relação a contadores digitais, considere as afirmativas a seguir:
I - O contador assíncrono tem um sinal de clock único externo aplicado a todos os estágios ao mesmo tempo.
II - O valor máximo de contagens que um contador que utiliza 4 flip-flops pode atingir é 32.
III - É possível fazer a contagem de valores que não sejam potências de 2 combinando contadores comuns com portas lógicas conhecidas.
É(São) correta(s) APENAS a(s) afirmativa(s):
Provas
Considere que duas antenas isotrópicas ideais estão afastadas por uma distância de 5m. Sabe-se que a perda teórica no espaço livre de uma antena desse tipo pode ser modelada por

onde L é a perda, Ptransmitida e Precebida são, respectivamente, a potência da antena de transmissão e a potência da antena de recepção, f é a frequência (em Hertz) da portadora utilizada, d é a distância (em metros) entre as antenas, e c é a velocidade da luz (3x108 m/s).
Sabe-se que
• log 4π = 1,1
• log 2 = 0,3
Sabendo-se que a potência mínima para a recepção adequada é de 4 dBW, qual deverá ser a potência mínima de transmissão, em Watts, considerando-se que ambas as antenas têm ganho igual a 1, e que a comunicação será realizada na frequência de 300 MHz?
Provas
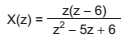
Considere o sinal a seguir:
![]()
A inversa Z desse sinal é:
Provas
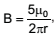
Parte de um sistema industrial possui a função de transferência mostrada abaixo.
![]()
O sistema representado pela função de transferência é um sistema BIBO
Dados:
√2 = 1,4
√10 = 3,16
Provas
O decibel é utilizado para indicar uma medida da potência de um sinal em relação a outra medida de potência de referência. Assim, dadas duas potências, P1 e P2 , o valor de P2 pode ser medido (em decibéis) em relação a P1 aplicando-se a fórmula P2(dB) = 10log10(P2 /P1 ). Por exemplo, se P2 é a metade de P1 , então P2 (db) = – 3 db (tendo P1 como referência), pois log10(0,5) ≈ – 0,3. Em um determinado enlace de rádio, a antena de transmissão impõe ao sinal, no momento da transmissão, um ganho de 44 dB. Durante a propagação do sinal, esse ganho sofre uma atenuação de 99 dB. A antena receptora, por sua vez, proporciona um novo ganho de 48 dB sobre o sinal recebido.
Sabendo-se que a potência de entrada da antena de transmissão (antes do ganho imposto por ela) é de 700 W, a potência do sinal recebido após todo o caminho percorrido, incluindo o ganho da antena de recepção, em W, é de
Provas
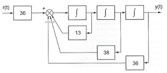
Um engenheiro de equipamentos está trabalhando em uma planta que pode ser representada pelo diagrama de blocos abaixo, em que r(t) e y(t) são a entrada e saída dessa planta, respectivamente.

Após análise do diagrama, conclui-se que a função de transferência do sistema é representada por
Provas
Estão apresentados nas Figuras abaixo um circuito lógico e sua Tabela verdade.

Usando-se os dados exibidos nas Figuras acima, verifica- -se que as expressões booleanas das saídas S1 e S2 são, respectivamente:
Provas
Uma esfera isolante maciça de raio a tem uma carga uniformemente distribuída no seu volume. Concêntrica a ela, está uma casca condutora cujos raios interno e externo são, respectivamente, b e c, conforme mostrado na Figura a seguir.

Sabendo-se que o campo elétrico tem os seguintes valores:
para a < r < b e
para r > c, qual é
a carga total sobre a esfera isolante?
Provas
Uma espira retangular de lados a e b está sujeita a um
campo magnético não uniforme, cujo módulo é dado por
onde r é a distância entre a espira e o eixo de
referência X , conforme a Figura abaixo:

Provas
Caderno Container