Foram encontradas 70 questões.
No transporte de produtos perigosos, existem parâmetros que devem ser seguidos. A Portaria nº 204, de 1997, que tomou como base um livro da ONU conhecido como Orange Book, normatiza a forma de operacionalizar o transporte, a embalagem e a armazenagem de produtos perigosos. Segundo a referida Portaria, os gases inflamáveis são enquadrados na classe
Provas
Questão presente nas seguintes provas
A avaliação de projetos de investimento em situação de futuro indeterminado é uma atividade rotineira da maioria dos dirigentes de empresas. Diversos critérios podem ser adotados para a tomada de decisão.
Considere que um dirigente quer aumentar a participação de mercado de sua empresa seguindo uma das quatro estratégias disponíveis (E1, E2, E3 ou E4), e que uma análise da concorrência indicou que a reação poderia ocorrer de três formas diferentes (A1, A2 ou A3), mas, sem condições de determinar qualquer probabilidade de ocorrência de cada reação. Analisando cada um dos possíveis estados da natureza, o dirigente elaborou a matriz de ganhos abaixo.

Orientado por um consultor, o dirigente deverá adotar o critério de Wald, também conhecido como Maximin. Nessa situação, conclui-se que a estratégia adotada foi
Provas
Questão presente nas seguintes provas
Uma empresa vem registrando, desde 2007, uma crescente perda de competitividade no mercado internacional, amargando reduções constantes na sua margem de lucro. O Conselho de Administração da companhia decidiu, então, constituir um grupo de trabalho cuja missão consistiu, basicamente, na identificação, análise e proposta de soluções aos problemas conjunturais da empresa. Promovendo um aprofundado estudo junto a suas filiais e a suas concorrentes diretas, concluiu-se que as empresas rivais estavam vendendo produtos concorrentes ao preço de custo dos produtos produzidos pela empresa. A razão dessa disparidade encontrava-se, especialmente, em um número excessivo de fornecedores, um nível comparativamente elevado de rejeições na linha de produção e um tempo excessivamente longo na colocação do produto no mercado consumidor. O estudo permitiu, também, a comparação da realização de processos entre as diversas filiais da empresa. Isso possibilitou a identificação das melhores práticas em cada processo, o que, por sua vez, ajudou a promover a maximização da performance empresarial. A partir das conclusões do grupo de trabalho, foi também possível à empresa definir diretrizes e estratégias de ação, otimizar a linha de produção para a eliminação consistente de não conformidades, e definir precisamente metas e indicadores de desempenho. Considerando todo o exposto, a prática de melhoria adotada pela empresa para identificar e propor soluções aos problemas foi, essencialmente, o(a)
Provas
Questão presente nas seguintes provas
A ISO 9001:2008 estabelece quatro grupos de atividades básicas, que são exigidas de um sistema de qualidade: medição e monitoramento; controle de produto não conforme; análise de dados; e melhorias. São requisitos essenciais de cada uma dessas atividades, EXCETO o de
Provas
Questão presente nas seguintes provas
Os sistemas de informação possuem papel importante na operacionalização de estratégias de baixo custo e de diferenciação em diversas empresas. Sobre a participação dos sistemas de informação nos processos estratégicos, considere as afirmativas abaixo.
I - Em uma estratégia de baixo custo, as tecnologias de fabricação devem ser de fácil utilização e associadas à constante busca de redução dos custos associados aos processos produtivos.
II - Sistemas descentralizados de compra sempre reduzem os custos com aquisição de suprimentos.
III - Deve haver a sincronização entre a logística de recebimentos das matérias-primas e os processos de produção da empresa, a fim de estabelecer uma estratégia de diferenciação.
IV - Em uma estratégia de diferenciação, maior exatidão e rapidez de resposta no processamento de pedidos são fundamentais.
Está correto o que se afirma em
Provas
Questão presente nas seguintes provas
Uma boa estratégia de manutenção e de confiabilidade garante o desempenho da empresa e seus investimentos.
Nessa perspectiva, confiabilidade é a(o)
Provas
Questão presente nas seguintes provas
Com relação à engenharia reversa, afirma-se que
Provas
Questão presente nas seguintes provas
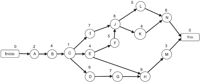
Uma empresa se comprometeu a entregar um produto no prazo estabelecido no contrato. A equipe de engenharia preparou a seguinte rede de atividades para o processo de produção do novo produto:

Sabendo-se que a duração das atividades é medida em dias, o caminho crítico e a sua duração são, respectivamente,
Provas
Questão presente nas seguintes provas
Considere o problema abaixo de Programação Linear.
Minimize: !$ Z=alpha cdot X_1+ eta cdot X_2 !$
Sujeito a:
!$ X_1 le 3 !$
!$ X_2 le 4 !$
!$ X_1+2X_2 ge 9 !$
!$ X_1 ge 0 !$
!$ X_2 ge 0 !$
Para quais valores de α e β o problema apresenta soluções múltiplas?
Provas
Questão presente nas seguintes provas
Em gestão da produção, cada tipo de manufatura demanda a organização das atividades das operações com características diferentes de volume e variedade. O tipo de processo que lida com produtos discretos, geralmente muito customizados, sendo o período de tempo para executar o serviço normalmente longo, com baixo volume de produção e alta variedade, é denominado processo
Provas
Questão presente nas seguintes provas
Cadernos
Caderno Container