Foram encontradas 2.648 questões.
Um Sistema de Informação (SI) pode ser definido, tecnicamente, como um conjunto de componentes inter-relacionados que coletam (recuperam), processam, armazenam e distribuem informações destinadas a apoiar a tomada de decisões, a coordenação e o controle de uma organização.
PORQUE
Pode-se definir Tecnologia da Informação (TI) como todo software e todo hardware de que uma empresa necessita para atingir seus objetivos organizacionais.
A esse respeito, conclui-se que
Provas
Questão presente nas seguintes provas
- Fundamentos de ProgramaçãoAnálise Assintótica (Notação Big-O)
- Fundamentos de ProgramaçãoComplexidade
- Fundamentos de ProgramaçãoEstruturas de DadosEstrutura de Dados: ÁrvoreÁrvore Binária
- Fundamentos de ProgramaçãoEstruturas de DadosEstrutura de Dados: Pilha
Uma lista ordenada de N números é inserida em uma pilha e depois retirada, sendo que, a cada POP, o elemento retirado é inserido em uma árvore de busca binária. Após a completa inserção de todos os elementos nesta árvore, são feitas buscas de números na mesma. O tempo médio de busca de um número nesta árvore é
Provas
Questão presente nas seguintes provas
Relacione as classificações de Sistemas de Informação da coluna da esquerda com seu respectivo exemplo de aplicação, da coluna da direita.
| Classificação de Sistemas de Informação | Exemplo de Aplicações |
| I - Por Estrutura Organizacional | P - Gestão de Recursos Humanos |
| II - Por Área Funcional | Q - Sistemas com base em Mainframes |
| III - Por Tipo de Suporte Propiciado | R - Sistemas Interorganizacionais |
| S - Sistemas de Administradores do Conhecimento |
Estão corretas as associações
Provas
Questão presente nas seguintes provas
No que diz respeito às arquiteturas orientadas a serviços (SOA – Service-Oriented Architecture), tem-se que
Provas
Questão presente nas seguintes provas
- Fundamentos de ProgramaçãoAlgoritmosAlgoritmos de Ordenação
- Fundamentos de ProgramaçãoAlgoritmosDividir e Conquistar
- Fundamentos de ProgramaçãoComplexidade
O quicksort é um algoritmo que funciona usando o paradigma de dividir e conquistar, usando uma rotina de particionamento que divide o vetor de estruturas em dois pedaços em torno de um pivô. O pedaço da esquerda só contém elementos com chaves menores ou iguais que o elemento corrente e o pedaço da direita, só elementos com chaves maiores que o elemento corrente. O algoritmo procede, então, para o subproblema de ordenar cada um dos pedaços e seu desempenho total é um dos mais eficientes para ordenação de estruturas de dados. Qual das seguintes descrições representa uma correta característica do algoritmo quicksort?
Provas
Questão presente nas seguintes provas
- Fundamentos de ProgramaçãoEstruturas de DadosEstrutura de Dados: ÁrvoreÁrvore B ou B+ Tree
- Fundamentos de ProgramaçãoEstruturas de DadosEstrutura de Dados: ÁrvorePropriedades de Árvores
Uma árvore B é um tipo de árvore que se mantém balanceada com o decorrer do tempo. Para tanto, ela usa uma série de operações que garantem a manutenção de uma série de propriedades importantes, uma das quais é a ordem da árvore que pode ser definida como o número máximo de elementos que podem ser armazenados em um nó da árvore. Com base nesses conceitos, qual das situações a seguir representa uma propriedade das árvores B?
Provas
Questão presente nas seguintes provas

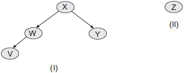
As árvores usadas como estruturas de pesquisa têm características especiais que garantem sua utilidade e propriedades como facilidade de acesso aos elementos procurados em cada instante. A esse respeito, considere as afirmações abaixo.
I – A árvore representada na figura (I) acima não é uma árvore AVL, pois as folhas não estão no mesmo nível.
II – A sequência 20, 30, 35, 34, 32, 33 representa um percurso sintaticamente correto de busca do elemento 33 em uma árvore binária de busca.
III – A árvore representada na figura (II) acima é uma árvore binária, apesar da raiz não ter filhos.
É(São) correta(s) APENAS a(s) afirmativa(s)
Provas
Questão presente nas seguintes provas
Um programador precisa realizar buscas em um enorme cadastro de pessoas (tamanho igual a n) armazenado na memória principal. Para realizar um processo eficiente de busca, ele decidiu usar uma árvore AVL e obteve um tempo de execução de ordem f. Um colega, preocupado com a eficiência do processo de busca, sugeriu-lhe que usasse um vetor com 10 árvores AVL, onde o índice da árvore seria dado pelo último dígito do CPF de cada pessoa, dígito este que é uniformemente distribuído. Assim, cada árvore teria aproximadamente 1/10 do número de pessoas e o processo de busca poderia ser mais eficiente. Se o programador implementar a solução proposta pelo seu colega, a ordem do tempo de execução do processo de busca será
Provas
Questão presente nas seguintes provas
- Engenharia de SoftwareTestesAnálise Estática
- Qualidade de SoftwareAtributos de Qualidade de Software
É comum, na Engenharia de Software, o uso de ferramentas de software que auxiliam na realização de diversas atividades do desenvolvimento. Nesse contexto, ferramentas de
Provas
Questão presente nas seguintes provas
No contexto da Engenharia de Software, a verificação e a validação são conjuntos de atividades que
Provas
Questão presente nas seguintes provas
Cadernos
Caderno Container