Foram encontradas 3.478 questões.
- Arquitetura e Design de SoftwareArquitetura de Sistemas de Informação
- Arquitetura e Design de SoftwareCoesão, Acoplamento e Modularidade
- Arquitetura e Design de SoftwareArquitetura em Camadas
O desenvolvimento de um sistema web que usa a arquitetura 3 camadas reduz a complexidade e o esforço para o desenvolvimento da aplicação.
PORQUE
A arquitetura 3 camadas fica mais flexível, possibilitando que as partes possam ser internamente alteradas independente das outras, bastando manter a mesma interface.
Analisando as afirmações acima, conclui-se que
Provas

Analisando o diagrama acima, com base nos fundamentos de construção de diagrama de classes UML, conclui-se que
Provas
A Arquitetura de Software trata dos princípios estruturais do software e de como seus elementos serão dispostos visando ao melhor funcionamento no manuseio da informação. Existem vários modelos de arquitetura de software, cada um deles com diversas características topológicas. A característica topológica que pertence à Arquitetura Orientada a Serviços (SOA) é
Provas
O grande objetivo do projeto de casos de teste do software é produzir um conjunto de testes que tenha a maior probabilidade de descobrir erros no software. Dentre as várias técnicas existentes, a pertencente à categoria teste caixabranca é o(a)
Provas
Existem vários Modelos de Ciclo de Vida do Processo de Software. O desenvolvimento em espiral é um modelo
Provas
Os diagramas comportamentais da UML são basicamente organizados a partir das principais formas existentes para se fazer a modelagem dinâmica de um sistema.
Relacione os diagramas da UML da coluna da esquerda com a respectiva descrição da coluna da direita.
I – Diagrama de caso de uso
II – Diagrama de sequência
III – Diagrama de comunicação
IV – Diagrama de atividades
P – Enfatiza o estado de mudança de um sistema orientado por eventos.
Q – Organiza os comportamentos de um sistema.
R – Enfatiza a ordem temporal das mensagens.
S – Enfatiza a organização estrutural de objetos que enviam e recebem mensagens.
T – Enfatiza o fluxo de controle de uma atividade para outra.
A relação correta é:
Provas
No Ciclo de Vida Clássico, também chamado de Modelo Sequencial Linear ou Modelo Cascata, é apresentada uma abordagem sistemática composta pelas seguintes atividades:
Provas
Na Engenharia de Requisitos existe um mecanismo apropriado para entender o que o cliente deseja, analisar as suas necessidades, avaliar a possibilidade de execução do que foi pedido, negociar uma solução razoável, especificar a solução evitando ambiguidade, validar a especificação e administrar os requisitos. Durante a execução da etapa de Elicitação de Requisitos alguns problemas podem ocorrer.
Relacione os problemas apresentados na coluna da esquerda com a respectiva definição, indicada na coluna da direita.
I – Problemas de escopo
II – Problemas de entendimento
III – Problemas de volatilidade
P – Os clientes/usuários omitem informações que acreditam que sejam óbvias, têm dúvidas quanto ao que é necessário e possuem dificuldade de transmitir as suas necessidades ao engenheiro de sistemas.
Q – Os requisitos podem ser modificados ao longo do tempo.
R – As fronteiras do sistema são mal definidas ou os clientes/usuários apresentam especificações com detalhes técnicos desnecessários que podem confundir os objetivos globais do sistema.
S – Parte dos requisitos funcionais do sistema não influencia na especificação dos requisitos não funcionais.
A relação correta é:
Provas
A figura a seguir mostra uma série de interfaces web que demonstram a aplicação de um padrão de transição de interfaces denominado Brighten and Dim (Iluminar e Escurecer), muito usado em sites que possuem múltiplos passos, requerem a interação do usuário com múltiplos componentes e/ou possuem longo tempo de carregamento.

Adaptado de SCOTT, B.; NEIL, T., Designing Web Interfaces. O’Reilly Media Inc.,
EUA, 2009, pp. 218 a 220.
Entre as consequências positivas e/ou negativas do uso deste padrão NÃO se pode incluir a(o)
Provas
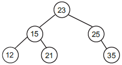
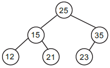
Seja a árvore AVL cujo estado atual é dado por

Ao inserir o nó de chave igual a 12, o resultado final será
Provas
Caderno Container