Foram encontradas 3.478 questões.
No contexto das atividades de análise e projeto de sistemas de software orientados a objetos, são fornecidas as afirmativas abaixo.
I - A modelagem de classes de análise fornece subsídio para a construção da modelagem dinâmica.
II - Os princípios de coesão e de acoplamento são importantes para a correta identificação dos eventos de sistema identificados no modelo de casos.
III - A violação do princípio do encapsulamento do paradigma da orientação a objetos pode levar à atribuição incorreta de responsabilidades às classes de um sistema.
IV - As mensagens que um objeto de classe C envia em um diagrama de sequência (da UML) são úteis para identificar as operações necessárias na interface pública de C.
São corretas APENAS as afirmativas
Provas
- Qualidade de SoftwareControle de Qualidade
- Qualidade de SoftwareSQA: Garantia da Qualidade de Software
- Qualidade de SoftwareRevisões de Software
Na técnica de revisão de software, uma das características das sessões de revisão é que elas
Provas
- Engenharia de SoftwareEngenharia de Requisitos
- Engenharia de SoftwareUML: Unified Modeling LanguageDiagrama de Casos de Uso
Sobre a modelagem de casos de uso, realizada durante levantamento e análise de requisitos, o(s)
Provas
No que tange à usabilidade, acessibilidade e interoperabilidade em sistemas Web, são fornecidas as seguintes afirmativas:
I - Serviços Web (Web Services) permitem a interoperabilidade entre aplicações Web, mesmo que essas aplicações tenham sido desenvolvidas com linguagens de programação diferentes.
II - Testes de usabilidade são projetados por uma equipe de engenharia da Web e conduzidos por usuários finais.
III - Um entrave para a produção de sistemas Web de boa acessibilidade é o fato de que estes normalmente se tornam mais difíceis de serem utilizados por usuários sem alguma deficiência.
É correto APENAS o que se afirma em
Provas
Considere o modelo conceitual de dados (representado com o diagrama de classes da UML) a seguir.

Durante o mapeamento desse modelo conceitual para o modelo relacional, um projetista de banco de dados optou pela estratégia de criar uma relação por classe do diagrama. Esse projetista também optou por utilizar uma coluna de implementação como chave estrangeira de cada relação. Sendo assim, a quantidade de relações e a quantidade de chaves estrangeiras resultantes neste mapeamento são, respectivamente,
Provas
- Fundamentos de ProgramaçãoAlgoritmosAlgoritmos de Busca
- Fundamentos de ProgramaçãoAnálise Assintótica (Notação Big-O)
- Fundamentos de ProgramaçãoEstruturas de DadosEstrutura de Dados: ÁrvoreÁrvore AVL
Sendo n o número de nós de uma árvore AVL, a complexidade temporal para buscar um elemento nesta árvore é
Provas
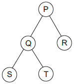
O método abaixo é executado passando-se como argumento o nó P, raiz da árvore representada na figura.
A saída obtida é: 7, 5, 8, 3, 1,

public void visit( Arv v) {
if (null != v) {
System.out.print(v.valor+", ");
Visit(v.esquerda);
Visit(v.direita);
}
}
Em qual nó está armazenado o número 3?
Provas
S.push(1);
S.push(2);
S.push(3);
S.pop();
S.pop();
S.push(4);
S.push(5);
S.pop();
Sendo S uma pilha inicialmente vazia, conforme exposto acima, após as operações, o valor que se encontra no topo da pilha é
Provas
- AcessibilidadeDiretrizes de Acessibilidade
- AcessibilidadeWAI: Web Accessibility Initiative
- AcessibilidadeWCAG: Diretrizes de Acessibilidade a Conteúdos da Web
- AcessibilidadeUsabilidade e Acessibilidade
Acessibilidade na web significa que pessoas com algum tipo de deficiência podem usar a web. Mais especificamente, estas pessoas com deficiência podem perceber, entender, navegar e interagir, além de poderem contribuir com a produção de conteúdo. Esta necessidade é tão relevante, que o consórcio W3C criou um grupo para discutir iniciativas sobre a questão da acessibilidade na web.
Este grupo define 4 princípios para acessibilidade. Relacione as características dos princípios com seus significados ou uso.
I - Perceptível
II - Operável
III - Compreensível
IV - Robusto
P - Existe descrição textual para as imagens da página.
Q - O site é criado maximizando a compatibilidade com a tecnologia assistiva presente e futura.
R - Evita que o usuário cometa erros, corrigindo e apresentando-os.
S - Toda as funções podem ser acessadas pelo teclado; o mouse é opcional.
T - Desabilita algumas funções do site por segurança em função do grau de deficiência do usuário.
Estão corretas as associações:
Provas
- Arquitetura e Design de SoftwareArquitetura de Sistemas de Informação
- Arquitetura e Design de SoftwareArquitetura em Camadas
- Arquitetura e Design de SoftwarePadrões de Arquitetura
Na arquitetura 3 camadas não só os dados estão mais protegidos, como também há facilidade de integração de múltiplas fontes de dados.
PORQUE
O banco de dados não é acessado diretamente pelo cliente, mas sim pelo servidor de aplicações.
Analisando as afirmações acima, conclui-se que
Provas
Caderno Container