Foram encontradas 100 questões.
A questão referem-se à situação descrita a seguir.
Para traçar um percurso em campo, identificando trajetórias de veículos, pedestres e outros, o desenhista recebeu uma planta cadastral da vizinhança do local, copiada do sistema cartográfico oficial, na qual não consta indicação de escala, mas há uma malha de coordenadas com equidistância de 10 cm, na qual apa- recem indicadas linhas sucessivas da malha com coordenadas E330.200 e E330.400.
É possível concluir que a cópia está na escala
Para traçar um percurso em campo, identificando trajetórias de veículos, pedestres e outros, o desenhista recebeu uma planta cadastral da vizinhança do local, copiada do sistema cartográfico oficial, na qual não consta indicação de escala, mas há uma malha de coordenadas com equidistância de 10 cm, na qual apa- recem indicadas linhas sucessivas da malha com coordenadas E330.200 e E330.400.
É possível concluir que a cópia está na escala
Provas
Questão presente nas seguintes provas
Na construção de um desenho de representação isométrica de uma peça mecânica, será necessário desenhar na face de um cubo uma circunferência que tangencia as quatro arestas que delimitam essa face. Para tal, o método consiste em desenhar
Provas
Questão presente nas seguintes provas
A tabela a seguir apresenta dados dos ingressantes em uma universidade, com informações sobre área de estudo e classe socioeconômica.
Classe A Classe B Classes C ou D
Exatas 300 200 150
Humanas 250 150 150
Biológicas 450 250 100
Se um aluno ingressante é aleatoriamente escolhido, é verdade que a probabilidade de ele
Classe A Classe B Classes C ou D
Exatas 300 200 150
Humanas 250 150 150
Biológicas 450 250 100
Se um aluno ingressante é aleatoriamente escolhido, é verdade que a probabilidade de ele
Provas
Questão presente nas seguintes provas
Uma população P cresce em função do tempo t (em anos), segundo a sentença P = 2000.50,1t . Hoje, no instante t = 0, a população é de 2 000 indivíduos. A população será de 50 000 indivíduos daqui a
Provas
Questão presente nas seguintes provas
Do total de empregados de uma empresa, 3/5 têm mais de 35 anos de idade. Sabe-se que 2/3 dos empregados restantes têm de 30 a 35 anos. Se o número de empregados com menos de 30 anos é 10, pode-se afirmar que o número de empregados que têm entre 30 e 35 anos é:
Provas
Questão presente nas seguintes provas
A capacidade de um reservatório de água é de 15000 litros. Todavia, a água contida nesse reservatório corresponde apenas a 3/5 da capacidade. Por questões de saneamento, é lançado um produto químico em pó à razão de dois pacotes para 225 litros de água. Assim, para a água existente nesse reservatório, serão necessários, desse produto químico,
Provas
Questão presente nas seguintes provas
Uma caixa de água tem a forma de um cilindro, cuja base interna tem 1,2 m de diâmetro e a altura interna mede 70 cm. É correto afirmar que a capacidade dessa caixa é
Provas
Questão presente nas seguintes provas
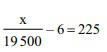
A Secretaria de Estado da Cultura iria distribuir 19 500 livros igualmente entre x bibliotecas. No entanto, 6 dessas bibliotecas deixaram de receber, pois já haviam recebido livros da prefeitura. Desse modo, as que ganharam os livros da Secretaria de Estado da Cultura receberam 225 livros a mais do que receberiam, caso os livros fossem divididos entre todas as bibliotecas indicadas inicialmente.
Uma equação que permite determinar o número x é:
Uma equação que permite determinar o número x é:
Provas
Questão presente nas seguintes provas
Um estudante queria determinar a altura aproximada de um prédio. Para tanto, com ajuda de um instrumento que ele construiu, mediu de forma aproximada o ângulo de elevação do prédio a partir de Q, obtendo 30º. Em seguida, caminhou até P, que ele sabia que estava distante 80 m de Q, e mediu novamente o ângulo de elevação, obtendo 45º. A figura a seguir representa essas ações.

Utilizando tg 30º ≅ 0,6 e tg 45º = 1, pode-se concluir que a altura aproximada do prédio é:

Utilizando tg 30º ≅ 0,6 e tg 45º = 1, pode-se concluir que a altura aproximada do prédio é:
Provas
Questão presente nas seguintes provas
Considere as matrizes
, Em relação a MN, que é o produto da matriz M pela matriz N, é correto afirmar que
, Em relação a MN, que é o produto da matriz M pela matriz N, é correto afirmar queProvas
Questão presente nas seguintes provas
Cadernos
Caderno Container