Foram encontradas 404 questões.
Quando se estudam cromossomos, é possível fazer um cariótipo, que consiste em uma montagem fotográfica em seqüência, dos diversos tipos cromossômicos. O cariótipo permite saber qual a forma e o número de cromossomos de uma espécie, assim como estabelece qual é o padrão normal.
Em relação ao cariótipo e seu estudo, são feitas as seguintes afirmativas:
I - Para a montagem do cariótipo, são utilizadas hemácias em metáfase.
II - A partir da análise de cariótipos em humanos, informações diversas podem ser obtidas, tais como se existem cromossomos extras, que levam ao aparecimento de algumas síndromes genéticas.
III - O cariótipo é a montagem fotográfica de cromossomos extraídos de células díplodes.
IV - A Síndrome de Turner, ou trissomia do 21, não pode ser percebida no cariótipo humano.
São verdadeiras as afirmativas:
Provas
O salmefamol é uma droga antiasmática e apresenta uma estrutura multifuncional. A síntese do salmefamol está apresentada abaixo:

A respeito da síntese proposta, considere as afirmativas a seguir:
I - Estão presentes na molécula do salmefamol, os grupos funcionais éter, amina, álcool e fenol.
II - As conversões do composto A para o composto B (primeira etapa) e do composto C para o salmefamol (terceira etapa) podem ser observadas por espectroscopia no infravermelho, pelo aparecimento de uma banda na região de aproximadamente 1680-1700 cm-1 e o aparecimento de uma banda na faixa de 1710- 1740 cm-1, respectivamente.
III - Os reagentes X e Y correspondem a diferentes agentes oxidantes.
IV - A molécula do composto A contém, entre outros grupos, uma amina terciária e uma cetona.
Estão corretas somente as afirmativas:
Provas
A cultura da soja é de suma importância para o agronegócio brasileiro e tem contribuído com uma considerável parcela das exportações de nosso país. A principal utilização desta espécie é para a produção de óleo comestível.
Em relação ao tema, assinale a alternativa INCORRETA:
Provas
Dentre todas as ferramentas analíticas disponíveis para os cientistas, há uma técnica com maior aplicabilidade, que é capaz de fornecer informação sobre a composição elementar de amostras; as estruturas de moléculas inorgânicas, orgânicas e biológicas; a composição qualitativa e quantitativa de misturas complexas; e sobre as razões isotópicas de átomos nas amostras. Com base no texto acima, a técnica citada é:
Provas
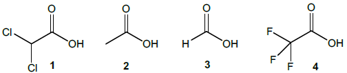
Grande parte dos compostos orgânicos são formados por ligações covalentes e podem sofrer ionização quando colocados em água. O ácido acético, que confere ao vinagre o sabor azedo, sofre ionização ao ser adicionado à água, liberando íons H+ na solução aquosa, deixando-a ácida. A quantidade de H+ liberada, determina a acidez da substância através do valor da constante de ionização do ácido, Ka. Os ácidos mostrados a seguir possuem valores aproximados de pKa de 4,76, 3,77, 1,29 e –0,25.

Assinale a alternativa que relaciona corretamente os valores de pKa com os ácidos 1, 2, 3 e 4, respectivamente:
Provas
A seguir estão representadas estruturas de quatro substâncias:

São enantiômeros e diastereoisômeros, respectivamente, os pares:
Provas
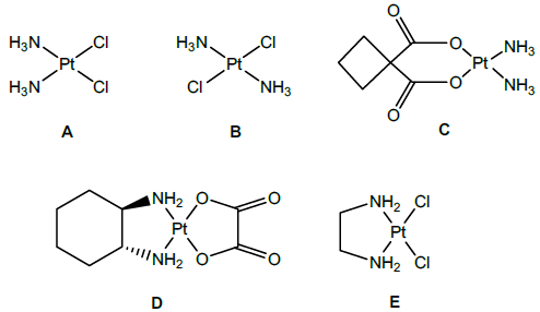
Após a descoberta da atividade antitumoral da cisplatina, um grande número de complexos da platina vem sendo sintetizados e avaliados quanto à sua atividade antineoplásica. Foram desencadeadas mundialmente várias pesquisas e mais de 3.000 compostos análogos foram sintetizados. Abaixo seguem alguns exemplos de complexos de platina e alguns destes já foram aprovados para a comercialização:

Com base nos complexos apresentados, assinale a alternativa correta:
Provas
A cromatografia compreende um grupo diversificado e importante de métodos, que permitem ao cientista separar componentes muito semelhantes de misturas complexas. Sobre a cromatografia é INCORRETO afirmar que:
Provas
A análise de UV-Visível de uma solução contendo o complexo [Co(NH3)6]Cl3 apresentou uma absorbância de 0,913 no comprimento de onda máximo, em 474 nm. Sabendo-se que a concentração da solução foi de 1,66 x 10-2 M e a célula utilizada foi de 1,0 cm, qual é a absortividade molar, em L cm-1mol-1, do complexo [Co(NH3)6]Cl3 em 474 nm?
Provas
Assinale a alternativa que contém um agente tóxico classificado como volátil:
Provas
Caderno Container