Foram encontradas 368 questões.
- EletromagnetismoElétricaAssociação de Resistores
- EletromagnetismoElétricaCircuitos Elétricos Especiais: Leis de Kirchhoff e Ponte de Wheatstone
- EletromagnetismoElétricaEletricidade
Na questão , caso seja necessário, considere as seguintes informações.
1) As grandezas vetoriais estão representadas por letras em negrito. Por exemplo, a letra F (em negrito) indica o vetor força, enquanto a letra F (sem negrito) indica o módulo do vetor força.
2) As expressões trigonométricas estão abreviadas da seguinte forma:
seno = sen
cosseno = cos
tangente = tg
3) A aceleração da gravidade está representada por g = 10 m/s2.
Provas
- EletromagnetismoMagnetismoIndução e Transformadores Elétricos
- EletromagnetismoElétricaEletricidade
- EletromagnetismoElétricaEletrodinâmica
Na questão , caso seja necessário, considere as seguintes informações.
1) As grandezas vetoriais estão representadas por letras em negrito. Por exemplo, a letra F (em negrito) indica o vetor força, enquanto a letra F (sem negrito) indica o módulo do vetor força.
2) As expressões trigonométricas estão abreviadas da seguinte forma:
seno = sen
cosseno = cos
tangente = tg
3) A aceleração da gravidade está representada por g = 10 m/s2.
Provas
- EletromagnetismoMagnetismoIndução e Transformadores Elétricos
- Mecânica ClássicaCinemáticaCinemática AngularMCU: Movimento Circular Uniforme
Na questão , caso seja necessário, considere as seguintes informações.
1) As grandezas vetoriais estão representadas por letras em negrito. Por exemplo, a letra F (em negrito) indica o vetor força, enquanto a letra F (sem negrito) indica o módulo do vetor força.
2) As expressões trigonométricas estão abreviadas da seguinte forma:
seno = sen
cosseno = cos
tangente = tg
3) A aceleração da gravidade está representada por g = 10 m/s2.
Provas
- EletromagnetismoMagnetismoMagnetismo Elementar
- EletromagnetismoElétricaEletricidade
- EletromagnetismoElétricaEletrostática
- Mecânica ClássicaCinemáticaFundamentos da Cinemática
Na questão , caso seja necessário, considere as seguintes informações.
1) As grandezas vetoriais estão representadas por letras em negrito. Por exemplo, a letra F (em negrito) indica o vetor força, enquanto a letra F (sem negrito) indica o módulo do vetor força.
2) As expressões trigonométricas estão abreviadas da seguinte forma:
seno = sen
cosseno = cos
tangente = tg
3) A aceleração da gravidade está representada por g = 10 m/s2.
Provas
Na questão , caso seja necessário, considere as seguintes informações.
1) As grandezas vetoriais estão representadas por letras em negrito. Por exemplo, a letra F (em negrito) indica o vetor força, enquanto a letra F (sem negrito) indica o módulo do vetor força.
2) As expressões trigonométricas estão abreviadas da seguinte forma:
seno = sen
cosseno = cos
tangente = tg
3) A aceleração da gravidade está representada por g = 10 m/s2.
Provas
- Mecânica ClássicaCinemáticaCinemática AngularMCU: Movimento Circular Uniforme
- Mecânica ClássicaDinâmicaQuantidade de Movimento, Impulso e ColisõesColisão
Na questão , caso seja necessário, considere as seguintes informações.
1) As grandezas vetoriais estão representadas por letras em negrito. Por exemplo, a letra F (em negrito) indica o vetor força, enquanto a letra F (sem negrito) indica o módulo do vetor força.
2) As expressões trigonométricas estão abreviadas da seguinte forma:
seno = sen
cosseno = cos
tangente = tg
3) A aceleração da gravidade está representada por g = 10 m/s2.
Provas
- Fundamentos
- Mecânica ClássicaCinemáticaCinemática VetorialVetores
- Mecânica ClássicaDinâmicaQuantidade de Movimento, Impulso e ColisõesImpulso e Quantidade de Movimento
Na questão , caso seja necessário, considere as seguintes informações.
1) As grandezas vetoriais estão representadas por letras em negrito. Por exemplo, a letra F (em negrito) indica o vetor força, enquanto a letra F (sem negrito) indica o módulo do vetor força.
2) As expressões trigonométricas estão abreviadas da seguinte forma:
seno = sen
cosseno = cos
tangente = tg
3) A aceleração da gravidade está representada por g = 10 m/s2.
Provas
- EletromagnetismoElétricaCircuitos Elétricos Especiais: Leis de Kirchhoff e Ponte de Wheatstone
- EletromagnetismoElétricaEletricidade
Na questão , caso seja necessário, considere as seguintes informações.
1) As grandezas vetoriais estão representadas por letras em negrito. Por exemplo, a letra F (em negrito) indica o vetor força, enquanto a letra F (sem negrito) indica o módulo do vetor força.
2) As expressões trigonométricas estão abreviadas da seguinte forma:
seno = sen
cosseno = cos
tangente = tg
3) A aceleração da gravidade está representada por g = 10 m/s2.

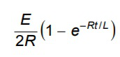
Desprezando a resistência interna da bateria, assinale a alternativa que apresenta a correta corrente que atravessa o indutor em função do tempo t, depois de se fechar a chave.
Provas
- EletromagnetismoMagnetismoIndução e Transformadores Elétricos
- EletromagnetismoElétricaEletricidade
- EletromagnetismoElétricaEletrodinâmica
Na questão , caso seja necessário, considere as seguintes informações.
1) As grandezas vetoriais estão representadas por letras em negrito. Por exemplo, a letra F (em negrito) indica o vetor força, enquanto a letra F (sem negrito) indica o módulo do vetor força.
2) As expressões trigonométricas estão abreviadas da seguinte forma:
seno = sen
cosseno = cos
tangente = tg
3) A aceleração da gravidade está representada por g = 10 m/s2.

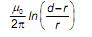
Assinale a alternativa que apresenta a autoindutância por unidade de comprimento para o par de fios.
Provas
- EletromagnetismoMagnetismoIndução e Transformadores Elétricos
- EletromagnetismoMagnetismoMagnetismo Elementar
- EletromagnetismoElétricaEletricidade
- EletromagnetismoElétricaEletrodinâmica
Na questão , caso seja necessário, considere as seguintes informações.
1) As grandezas vetoriais estão representadas por letras em negrito. Por exemplo, a letra F (em negrito) indica o vetor força, enquanto a letra F (sem negrito) indica o módulo do vetor força.
2) As expressões trigonométricas estão abreviadas da seguinte forma:
seno = sen
cosseno = cos
tangente = tg
3) A aceleração da gravidade está representada por g = 10 m/s2.

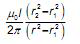
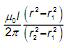
Assinale a alternativa que apresenta a correta intensidade do campo magnético dentro do metal a uma distância r do centro.
Provas
Caderno Container