Magna Concursos

Foram encontradas 2.363 questões.

1792376 Ano: 2008
Disciplina: Estatística
Banca: CESPE / CEBRASPE
Orgão: Min. Saúde

A série histórica da quantidade mensal de autorizações de procedimentos de alta complexidade em oncologia, em determinado município, no período de novembro de 1998 a fevereiro de 2003, foi descrita por dois pesquisadores por meio de um modelo ARIMA(3,1,0). Considerando que Z t representa a quantidade de autorizações de procedimentos de alta complexidade em oncologia nesse município no mês t, e que o modelo ARIMA(3,1,0) apresentado foi aquele que produz o menor AIC (Akaike's information criterion), julgue os itens subseqüentes.

O ajuste produzido pelo modelo ARIMA (3,1,0) é equivalente ao alisamento exponencial triplo.

 

Provas

Questão presente nas seguintes provas
1792375 Ano: 2008
Disciplina: Estatística
Banca: CESPE / CEBRASPE
Orgão: Min. Saúde

A série histórica da quantidade mensal de autorizações de procedimentos de alta complexidade em oncologia, em determinado município, no período de novembro de 1998 a fevereiro de 2003, foi descrita por dois pesquisadores por meio de um modelo ARIMA(3,1,0). Considerando que Z t representa a quantidade de autorizações de procedimentos de alta complexidade em oncologia nesse município no mês t, e que o modelo ARIMA(3,1,0) apresentado foi aquele que produz o menor AIC (Akaike's information criterion), julgue os itens subseqüentes.

Se o modelo estiver correto, a autocorrelação entre Z t e Z t + k será nula se |k| > 3.

 

Provas

Questão presente nas seguintes provas
1792374 Ano: 2008
Disciplina: Estatística
Banca: CESPE / CEBRASPE
Orgão: Min. Saúde

A série histórica da quantidade mensal de autorizações de procedimentos de alta complexidade em oncologia, em determinado município, no período de novembro de 1998 a fevereiro de 2003, foi descrita por dois pesquisadores por meio de um modelo ARIMA(3,1,0). Considerando que Z t representa a quantidade de autorizações de procedimentos de alta complexidade em oncologia nesse município no mês t, e que o modelo ARIMA(3,1,0) apresentado foi aquele que produz o menor AIC (Akaike's information criterion), julgue os itens subseqüentes.

A série histórica {Zt} não é estacionária.

 

Provas

Questão presente nas seguintes provas
1792373 Ano: 2008
Disciplina: Matemática
Banca: CESPE / CEBRASPE
Orgão: Min. Saúde

Com relação às funções f (x) = sen(2x) e g (x) = cos (2x), em um sistema de coordenadas cartesianas ortogonais xOy, julgue os itens a seguir.

Se h (x) = f (x) × g (x), então a série de Mac Laurin de h só contém potências ímpares de x.

 

Provas

Questão presente nas seguintes provas
1792372 Ano: 2008
Disciplina: Matemática
Banca: CESPE / CEBRASPE
Orgão: Min. Saúde

Com relação às funções f (x) = sen(2x) e g (x) = cos (2x), em um sistema de coordenadas cartesianas ortogonais xOy, julgue os itens a seguir.

Enunciado 1792372-1
 

Provas

Questão presente nas seguintes provas
1792371 Ano: 2008
Disciplina: Matemática
Banca: CESPE / CEBRASPE
Orgão: Min. Saúde

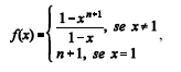
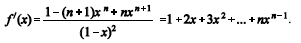
Em um sistema de coordenadas cartesianas ortogonais xOy, considerando a função f : R ÷ R definida por

Enunciado 1792371-1

julgue os itens subseqüentes.

Se x … 1, então

Enunciado 1792371-2

 

Provas

Questão presente nas seguintes provas
1792370 Ano: 2008
Disciplina: Matemática
Banca: CESPE / CEBRASPE
Orgão: Min. Saúde

Em um sistema de coordenadas cartesianas ortogonais xOy, considerando a função f : R ÷ R definida por

Enunciado 1792370-1

julgue os itens subseqüentes.

A função f é descontínua em x = 1.

 

Provas

Questão presente nas seguintes provas
1792369 Ano: 2008
Disciplina: Matemática
Banca: CESPE / CEBRASPE
Orgão: Min. Saúde

Enunciado 1792369-1

O valor máximo de V é 64Enunciado 1792369-2 cm 3 .

 

Provas

Questão presente nas seguintes provas
1792368 Ano: 2008
Disciplina: Matemática
Banca: CESPE / CEBRASPE
Orgão: Min. Saúde

Enunciado 1792368-1

A função V = V(x) possui 3 pontos críticos.

 

Provas

Questão presente nas seguintes provas
1792367 Ano: 2008
Disciplina: Matemática
Banca: CESPE / CEBRASPE
Orgão: Min. Saúde

Enunciado 1792367-1

A equação que descreve altura y em função do raio x é uma reta paralela à reta que passa pelos pontos de coordenadas (1, 4) e (2, 2).

 

Provas

Questão presente nas seguintes provas