Foram encontradas 2.495 questões.
Com base nessas informações, julgue o item subsecutivo, relativo ao teste de comparação entre médias.
Considere que se pretenda calcular o intervalo de confiança clássico com 95% de confiança para a diferença dos tempos. Nessa situação, se fossem feitos 100 intervalos com base em amostras de mesmo tamanho, 95 desses conteriam o parâmetro, diferentemente do intervalo bayesiano de credibilidade, o que indica que a probabilidade de o parâmetro estar dentro do intervalo é de 95%.
Provas
Com base nessas informações, julgue o item subsecutivo, relativo ao teste de comparação entre médias.
Considere que a expectativa fosse de que o tempo médio de
análise dos processos cairia 25% após a informatização.
Nesse caso, se
,
infere-se que o objetivo foi alcançado.
Provas

Considerando que a tabela acima mostra as alturas e as massas corporais de cinco pessoas participantes de um estudo nutricional, e que
e são a altura média e o peso médio, respectivamente![]()
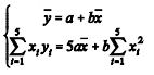
, julgue o seguinte item acerca do modelo de regressão linear simples yi = a + bxi + εi , em que εi é um erro aleatório com média nula e variância constante, e a e b são os objetos da estimação.
Os estimadores para os coeficientes a e b pelo método de mínimos quadrados ordinários satisfazem ao sistema de equações normais a seguir.

Provas

Considerando que a tabela acima mostra as alturas e as massas corporais de cinco pessoas participantes de um estudo nutricional, e que
e são a altura média e o peso médio, respectivamente![]()
, julgue o seguinte item acerca do modelo de regressão linear simples yi = a + bxi + εi , em que εi é um erro aleatório com média nula e variância constante, e a e b são os objetos da estimação.
O coeficiente de determinação do modelo (R2 ) é igual a 15/17.
Provas

Na tabela acima, resultante da aplicação de uma amostragem aleatória simples, cada observação representa o valor (em R$ milhões) do contrato i para a prestação de determinado serviço a um órgão público. Considerando que a distribuição populacional desses valores seja normal com variância desconhecida e que
, julgue o item a seguir.
A estimativa de máxima verossimilhança para a variância dessa população é superior a 36.
Provas

Considerando que a tabela acima mostra as alturas e as massas corporais de cinco pessoas participantes de um estudo nutricional, e que
e são a altura média e o peso médio, respectivamente![]()
, julgue o seguinte item acerca do modelo de regressão linear simples yi = a + bxi + εi , em que εi é um erro aleatório com média nula e variância constante, e a e b são os objetos da estimação.
Os resíduos são dados pela expressão
Provas
![]()
Considerando a tabela acima, que apresenta o registro das quantidades anuais de processos abertos contra autoridades públicas nas duas últimas décadas, julgue o item.
Utilizando-se o teste de aderência desses dados à distribuição de Poisson com parâmetro igual a 1, a estatística quiquadrado apresentará dois graus de liberdade.
Provas
Uma amostra aleatória simples X1, X2, ..., Xn foi retirada de uma distribuição contínua, em que θ é o parâmetro de interesse e Sn = S(X1, X2, ..., Xn) é o seu estimador. A respeito dessa amostra, julgue o próximo item.
O teorema limite central trata da convergência em probabilidade do estimador Sn para o parâmetro θ.
Provas
A distribuição conjunta de dois indicadores de qualidade do ar, X e Y, é expressa por ƒ(x, y) = αxy, em que 0 ≤ x ≤ 1, 0 ≤ y ≤ 1 e α > 0. Para outros valores de x e de y, ƒ(x, y) = 0. Com base nessas informações, julgue o próximo item.
Os indicadores X e Y possuem médias iguais a
.
Provas
![]()
Considerando a tabela acima, que apresenta o registro das quantidades anuais de processos abertos contra autoridades públicas nas duas últimas décadas, julgue o item.
Em qualquer teste qui-quadrado, a estatística do teste é calculada utilizando-se a diferença entre valores observados e valores esperados.
Provas
Caderno Container