Foram encontradas 489 questões.
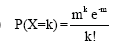
Uma variável aleatória X tem distribuição de Poisson, com parâmetro "m", e k = 0, 1, 2, 3...... se e somente se
Provas
Um experimento binomial é um experimento que comporta um número fixo de provas independentes, n. Cada prova tem os resultados classificados em apenas duas categorias, a saber: sucesso ou fracasso. Muito embora essa classificação seja arbitrária, costuma-se denotar a probabilidade de sucesso por p, e a probabilidade de fracasso por q. Desse modo, realizando-se 50 provas, a probabilidade de se obter 30 sucessos é dada por
Provas
Suzana e Sandra jogam, cada uma, uma moeda. Se do lançamento dessas duas moedas resultar duas caras, Suzana paga a Sandra R$ 6,00. Dando qualquer outro resultado, Sandra paga a Suzana R$ 4,00. Supondo que ambas as moedas sejam estatisticamente honestas, o valor esperado, em reais, dos ganhos de Sandra (considerando- se como ganhos negativos os valores que ela paga à Suzana) é igual a
Provas

Provas
Sabe-se que X e Y são variáveis aleatórias independentes. Dado que Z = 2 X – Y, então pode-se afi rmar que
Provas
Em uma população bastante grande, observou-se uma média igual a 50 e desvio-padrão igual a 12. Com essas informações, pode-se afirmar que a distribuição de amostragem da média das amostras de tamanho n = 36, apresenta expectância e desvio-padrão, respectivamente, iguais a
Provas
Se E1 e E2 são dois eventos independentes, então
Provas
Sabe-se, também, que a vida média de um componente eletrônico é igual a 850 dias, com desvio-padrão igual a 45 dias. Assim, a probabilidade de este componente ter uma vida média superior a 938,20 dias é igual a
Provas
Texto III %u2013 quest?es de 6 a 8
A figura abaixo ilustra uma janela do Word 2000 que cont?m parte de um texto extra?do da p?gina Web http://www.tj.ac.gov.br/proj_cid/.

O valor mais próximo da média harmônica do conjunto de dados: {10, 5, 3, 4, 5, 10, 3, 8, 9, 3} é igual a
Provas
O Teorema de Tchebyshev afirma que no intervalo
, tem-se
Provas
Caderno Container