Foram encontradas 444 questões.
1017269
Ano: 2015
Disciplina: Modelagem de Processos de Negócio (BPM)
Banca: FCC
Orgão: MPE-PB
Disciplina: Modelagem de Processos de Negócio (BPM)
Banca: FCC
Orgão: MPE-PB
Provas:
Na modelagem de processos, são consideradas regras de negócio a serem estudadas:
Provas
Questão presente nas seguintes provas
Considere o desenho de processo abaixo, o qual deveria seguir a notação BPMN.

Este diagrama representa

Este diagrama representa
Provas
Questão presente nas seguintes provas
1017267
Ano: 2015
Disciplina: Modelagem de Processos de Negócio (BPM)
Banca: FCC
Orgão: MPE-PB
Disciplina: Modelagem de Processos de Negócio (BPM)
Banca: FCC
Orgão: MPE-PB
Provas:
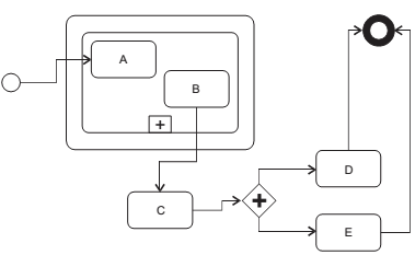
Na modelagem do processo a seguir usando BPMN 2.0, o responsável pelo desenho tinha por objetivo demonstrar que as atividades
A e B acontecem dentro de um subprocesso e apontar que D e E são ambos executados se a condição que os antecede
for verdadeira.

Pelo propósito descrito, é correto afirmar que o diagrama está

Pelo propósito descrito, é correto afirmar que o diagrama está
Provas
Questão presente nas seguintes provas
Homem de 30 anos procura o serviço médico do seu trabalho
com febre, calafrios, dor, edema e eritema no dorso
do pé direito que se estende ao terço inferior da perna.
Micose interdigital é detectada no mesmo pé, assim como
gânglio aumentado e doloroso na região inguinal do mesmo
lado. A escolha do antibiótico adequado deve-se basear
no conhecimento de que esse tipo de infecção cutâ-
nea é causada por
Provas
Questão presente nas seguintes provas
Paciente de 55 anos apresenta quadro clínico arrastado
de surgimento de coloração bronzeada de pele, hiperglicemia,
sinais de hepatopatia com nódulo no fígado e nível
elevado de alfafetoproteína. Além disso, há evidência de
insuficiência cardíaca, dores articulares e perda ponderal.
O diagnóstico mais provável é
O diagnóstico mais provável é
Provas
Questão presente nas seguintes provas
Nas intoxicações moderadas e graves por monóxido de
carbono todos pacientes devem receber
Provas
Questão presente nas seguintes provas
Homem de 55 anos é avaliado com queixa crônica de fraqueza
e dores articulares. Após exame físico atento é solicitada
ressonância magnética de sela turca que evidencia
a presença de nódulo hipofisário de 12 mm. Laboratorialmente
chama a atenção nível muito elevado de IGF-1
(insulin-like growth factor I). É mais provável o encontro
de glicemia de jejum (mg/dL), laudo radiológico e pressão
arterial (mmHg), respectivamente, de
Provas
Questão presente nas seguintes provas
Um homem de 39 anos, obeso, em uso de losartana, hidroclorotiazida
e metformina procura o ambulatório médico
de sua empresa com dor intensa, eritema e edema na articulação
metatarso-falangeana do hálux esquerdo. Refere
saber que seu ácido úrico é elevado e que teve episódio
semelhante há cerca de 1 ano. Nesse momento NÃO se
recomenda o uso de
Provas
Questão presente nas seguintes provas
Um paciente com artrite reumatoide, em uso de metotrexate,
passa a apresentar náusea e úlceras orais. A conduta
mais apropriada é
Provas
Questão presente nas seguintes provas
Pacientes epilépticos retornaram ao ambulatório com queixas
diversas associadas aos medicamentos anticonvulsivantes
prescritos. Pelas reações adversas foram divididos
em 3 grupos:
I. Ataxia, hiperplasia gengival e hirsutismo. II. Diplopia, rash cutâneo, hiponatremia e neutropenia. III. Sonolência, anorexia e dificuldade de concentração.
É provável que os medicamentos empregados sejam, respectivamente
I. Ataxia, hiperplasia gengival e hirsutismo. II. Diplopia, rash cutâneo, hiponatremia e neutropenia. III. Sonolência, anorexia e dificuldade de concentração.
É provável que os medicamentos empregados sejam, respectivamente
Provas
Questão presente nas seguintes provas
Cadernos
Caderno Container