Foram encontradas 1.540 questões.
Analise as seguintes afirmativas e assinale com V as verdadeiras e com F as Falsas.
( ) A correlação entre os resíduos não afeta acentuadamente o poder do teste estatístico da ANOVA paramétrica quando os grupos são balanceados.
( ) A falta de homocedasticidade dos resíduos afeta mais acentuadamente o poder do teste estatístico da ANOVA paramétrica quando os grupos são não-balanceados.
Assinale a alternativa que apresenta a sequência de letras CORRETA.
( ) A correlação entre os resíduos não afeta acentuadamente o poder do teste estatístico da ANOVA paramétrica quando os grupos são balanceados.
( ) A falta de homocedasticidade dos resíduos afeta mais acentuadamente o poder do teste estatístico da ANOVA paramétrica quando os grupos são não-balanceados.
Assinale a alternativa que apresenta a sequência de letras CORRETA.
Provas
Questão presente nas seguintes provas
Num estudo foram observados n pares de indivíduos sendo as variáveis aleatórias X e Y
com distribuição normal medidas em cada par. O coeficiente de correlação linear de
Pearson apresentou um valor igual a -0,12 e uma probabilidade de significância igual a
0,19 para o teste de hipótese correspondente.
Então, é CORRETO afirmar que
Então, é CORRETO afirmar que
Provas
Questão presente nas seguintes provas
A tabela 6 apresenta alguns resultados da comparação realizada por meio de um teste t-Student, entre as médias da variável durabilidade que foi medida em itens selecionados
aleatoriamente de dois lotes diferentes manufaturados pelo mesmo processo de
produção, mas com matérias primas provenientes de fornecedores diferentes. Quanto
maior o valor amostral observado maior é a durabilidade do item. Sendo assim, o objetivo
é produzir itens com matéria-prima que resulte em maior durabilidade média. O teste t-Student foi realizado a 10% de significância.

Pode-se, então, concluir que, na manufatura de itens desse processo de produção

Pode-se, então, concluir que, na manufatura de itens desse processo de produção
Provas
Questão presente nas seguintes provas
Um estudo foi conduzido por amostragem aleatória simples com reposição para
estimar a média populacional. O tamanho da amostra estipulado foi de n= 1000
elementos para um erro amostral de no máximo d = 11 unidades. O cálculo de
tamanho de amostra foi realizado utilizando-se um nível de 95% de confiança e um
valor aproximado para a variância populacional como referência. A coleta de dados
envolvia entrevistas com pessoas de uma localidade e apenas 716 das pessoas
selecionadas para compor a amostra aceitaram responder o questionário.
Diante dessa nova situação e considerando os mesmos critérios utilizados para o cálculo de tamanho de amostra descritos na questão, o erro amostral máximo para estimação da média populacional é aproximadamente igual a
Diante dessa nova situação e considerando os mesmos critérios utilizados para o cálculo de tamanho de amostra descritos na questão, o erro amostral máximo para estimação da média populacional é aproximadamente igual a
Provas
Questão presente nas seguintes provas
Numa pesquisa, observou-se uma amostra aleatória de tamanho n=100 do vetor aleatório X = [X1 X2 ... Xp]T, p =12. Um modelo de análise fatorial ortogonal com dois fatores foi
ajustado aos dados utilizando-se a matriz de correlação amostral das 12 variáveis. O
método de Componentes Principais foi utilizado na estimação das cargas fatoriais. Na
tabela 5 apresentam-se os valores das cargas fatoriais estimadas para as variáveis X1 e X2 padronizadas.
Tabela 5. Dados da questão 53 Variável Fator 1 Fator 2 X1padronizada 0,80 0,10 X2 padronizada 0,20 0,76
Nesse caso, pode-se dizer que a correlação estimada, pelo modelo de análise fatorial, entre as variáveis X1 e X2 é aproximadamente igual a
Tabela 5. Dados da questão 53 Variável Fator 1 Fator 2 X1padronizada 0,80 0,10 X2 padronizada 0,20 0,76
Nesse caso, pode-se dizer que a correlação estimada, pelo modelo de análise fatorial, entre as variáveis X1 e X2 é aproximadamente igual a
Provas
Questão presente nas seguintes provas
- Estatística DescritivaMedidas de DispersãoCovariância e Correlação
- Estatística InferencialEstimadoresPropriedades dos estimadores
- Estatística InferencialVariáveis AleatóriasVariável Aleatória Discreta
- Probabilidades
Numa disciplina, os alunos fazem duas provas no valor de 100 pontos cada sendo que a
primeira tem peso 2 e a segunda tem peso 1. Denote por X1 e X2 as variáveis aleatórias
que representam as notas dos alunos nas primeira e segunda provas, respectivamente.
De turmas anteriores sabe-se que X1 e X2 têm distribuições normais com médias iguais
a 75 e 82 e variâncias iguais a 9, respectivamente. A correlação entre X1 e X2 é igual
a 0,5. Seja Y = 2/3 X1 + 1/3 X2 a nota final do aluno na disciplina.
A variância da variável aleatória Y é igual a
A variância da variável aleatória Y é igual a
Provas
Questão presente nas seguintes provas
Considere a estatística Deviance usada na avaliação da qualidade de ajuste de modelos
logísticos. Denote por D o valor observado da Deviance e de p a probabilidade de
significância associada ao teste de hipótese correspondente.
Então, por esse critério, para que o modelo logístico seja considerado bem ajustado, é necessário ter-se
Então, por esse critério, para que o modelo logístico seja considerado bem ajustado, é necessário ter-se
Provas
Questão presente nas seguintes provas
- Estatística InferencialVariáveis AleatóriasVariável Aleatória Multidimensional
- ProbabilidadesFunção Geratriz de Momentos
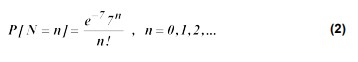
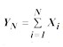
Seja Xi a variável aleatória que representa o custo mensal da empresa, em unidades
monetárias, devido à ocorrência do i-ésimo acidente de trabalho. Seja
, o
custo total mensal (em unidades monetárias) da empresa devido à ocorrência de
acidentes de trabalho, sendo Xi variáveis aleatórias independentes com distribuição
uniforme no intervalo (40;200). Suponha que N seja uma variável aleatória independente
de Xi, para todo i, com distribuição dada como em (2):

Seja Y0 =0.
Nesse caso, pode-se afirmar que o custo mensal médio, em unidades monetárias, devido à ocorrência de acidentes de trabalho na empresa é igual a
, o
custo total mensal (em unidades monetárias) da empresa devido à ocorrência de
acidentes de trabalho, sendo Xi variáveis aleatórias independentes com distribuição
uniforme no intervalo (40;200). Suponha que N seja uma variável aleatória independente
de Xi, para todo i, com distribuição dada como em (2): 
Seja Y0 =0.
Nesse caso, pode-se afirmar que o custo mensal médio, em unidades monetárias, devido à ocorrência de acidentes de trabalho na empresa é igual a
Provas
Questão presente nas seguintes provas
Considere a tabela 4 a seguir.
Tabela 4. Dados da questão 49 2010 2011 Produto preço preço A 12 18 B 6 8 C 15 20
É CORRETO afirmar que o produto B teve um índice de preço relativo entre 2010 e 2011
Tabela 4. Dados da questão 49 2010 2011 Produto preço preço A 12 18 B 6 8 C 15 20
É CORRETO afirmar que o produto B teve um índice de preço relativo entre 2010 e 2011
Provas
Questão presente nas seguintes provas
Suponha que o índice de preços num dado período seja igual a 10%. Nesse caso para
que os funcionários de uma empresa tenham um aumento de salário real de 5%, o
aumento dos salários deve ser de
Provas
Questão presente nas seguintes provas
Cadernos
Caderno Container