Foram encontradas 25 questões.
Movimento responsável pelas invasões de terras, ocupações de prédios públicos, greves de fome e marchas nacionais, que tem como tática a luta pela reforma agrária, e está causando bastante preocupação por sua crescente desinibição diante do governo Lula, é:
Provas
Enunciado para os exercícios 14 e 15.
Sabendo que, numa reunião, qualquer dupla de pessoas cumprimenta-se uma só vez, use a fórmula .
![]()
Onde C: total de cumprimentos
P: número de pes soas na reunião
Provas
Enunciado para os exercícios 14 e 15.
Sabendo que, numa reunião, qualquer dupla de pessoas cumprimenta-se uma só vez, use a fórmula .
![]()
Onde C: total de cumprimentos
P: número de pes soas na reunião
Para saber quantos cumprimentos são dados numa reunião com 25 pessoas.
Provas
O gráfico de setores representados abaixo mostra a distribuição de uma amostra de alunos e suas respectivas notas na prova de português.

Sabendo que a amostra é composta de sessenta alunos, responda:
Quantos alunos tiveram nota 5?
Provas
Um caminhoneiro, rodando 4 horas por dia, percorre em média 320 Km em dois dias. Em quantos dias esse caminhoneiro vai percorrer 800 Km, se rodar 5 horas por dia?
Provas
Uma aplicação financeira, feita durante 2 meses a uma taxa de 3% ao mês, rendeu R$ 1920,00 de juro. Qual foi a quantia aplicada?
Provas
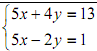
Dado o sistema
e sabendo que o par ordenado (x,y) é a solução desse sistema, determine o valor da expressão x 2 - xy+ y 2
Provas
Provas
O enunciado abaixo servirá de base para as questões de 4 a 7.
"Furlan prega alta do dólar e irrita Lula e Palocci ."
(O Diário de Santa Catarina p. 13 – 14/01/2005).
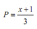
Continuando a seqüência acima determine a expressão que indica o número P de palitos em função do número x de quadrados.

Provas
O enunciado abaixo servirá de base para as questões de 4 a 7.
"Furlan prega alta do dólar e irrita Lula e Palocci ."
(O Diário de Santa Catarina p. 13 – 14/01/2005).
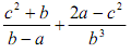
Sabendo que a = 1, b = 1/2 e c = – 2, determine o valor num ![]()
Provas
Caderno Container