Foram encontradas 40 questões.
O fragmento abaixo servirá de base para as questões de 9 a 12.
![]()
O verbo ser do fragmento acima é classificado como:
Provas
O fragmento abaixo servirá de base para as questões de 3 a 8.

(Obs.: podendo haver alteração no tempo verbal da locução).
Provas
O fragmento abaixo servirá de base para as questões de 3 a 8.

O vocábulo: certa, pela sua entonação sonora é um vocábulo:
Provas
O fragmento abaixo servirá de base para as questões de 3 a 8.

O vocábulo: assinado no enunciado é:
Provas
O fragmento abaixo servirá de base para as questões de 3 a 8.

Em "...a contratação do jogador para a disputa"... as palavras em destaque são:
Provas
O fragmento abaixo servirá de base para as questões de 3 a 8.

O tipo de sujeito do verbo dar do fragmento acima é:
Provas
O fragmento abaixo servirá de base para as questões de 3 a 8.

A regra geral de concordância diz que o verbo concorda com o sujeito da oração em número e pessoa. O verbo dar do fragmento acima atende a essa regra. O sujeito do verbo em questão é:
Provas
Assinale a opção cujo par de vocábulos esteja escrito segundo determina a norma padrão.
Provas
Assinale a opção que apresenta a voz passiva correta da oração: Comprei um computador.
Provas
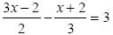
Resolva a equação: ![]()
Provas
Caderno Container