Magna Concursos

Foram encontradas 906 questões.

643078 Ano: 2008
Disciplina: Matemática
Banca: FCC
Orgão: METRO-SP

Se a transformação linear T : R2 → R3 é tal que T(1,0) = (1, 1, 0) e T(0,1) = (0, 1, 1), então T(–2, 1) é igual a

 

Provas

Questão presente nas seguintes provas
643077 Ano: 2008
Disciplina: Matemática
Banca: FCC
Orgão: METRO-SP

Seja B = {(1,1), (0,2)} uma base do espaço vetorial R2. A matriz de mudança de B para a base canônica do R2 é

 

Provas

Questão presente nas seguintes provas
643076 Ano: 2008
Disciplina: Matemática
Banca: FCC
Orgão: METRO-SP

Se U ={ (x, y, z) ; z = 0 } e W = { (x, y, z) ; y − 2x = 0 } são sub-espaços do espaço vetorial R3, é correto afirmar que as dimensões de U + W e U ∩ W são, respectivamente,

 

Provas

Questão presente nas seguintes provas
643075 Ano: 2008
Disciplina: Contabilidade Pública
Banca: FCC
Orgão: METRO-SP

No espaço vetorial R3, considere os vetores u = (1 - m, m, 1), v = (m, -1, 0) e w = (0, 1, m). A soma dos possíveis valores do escalar m, para os quais o conjunto {u, v, w} é linearmente dependente, é igual a

 

Provas

Questão presente nas seguintes provas
643074 Ano: 2008
Disciplina: Matemática
Banca: FCC
Orgão: METRO-SP

Seja U = { (x, y,z, t)∈R4 ; x + y − z − t = 0} um sub-espaço do espaço vetorial R4. Um possível sistema de geradores de U é

 

Provas

Questão presente nas seguintes provas
643073 Ano: 2008
Disciplina: Matemática
Banca: FCC
Orgão: METRO-SP

No espaço vetorial R3, considere os vetores u = (1, –1, 2), v = (3, 0, –2) e w = (4, 2, 5). Se o vetor x = (a, b, c) satisfaz a equação 2u + 3x – 2v = w, então a + b + c é igual a

 

Provas

Questão presente nas seguintes provas
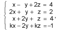
643072 Ano: 2008
Disciplina: Matemática
Banca: FCC
Orgão: METRO-SP

Considere o sistema linear S: enunciado 643072-1 em que x, y e z são incógnitas reais.

Se S admite uma única solução, então a constante k é um número real

 

Provas

Questão presente nas seguintes provas
643071 Ano: 2008
Disciplina: Matemática
Banca: FCC
Orgão: METRO-SP

enunciado 643071-1

 

Provas

Questão presente nas seguintes provas
643070 Ano: 2008
Disciplina: Matemática
Banca: FCC
Orgão: METRO-SP

enunciado 643070-1

 

Provas

Questão presente nas seguintes provas
643069 Ano: 2008
Disciplina: Matemática
Banca: FCC
Orgão: METRO-SP

Se uma matriz quadrada M é igual à sua inversa M-1, então, o determinante de M é

 

Provas

Questão presente nas seguintes provas