Magna Concursos

Foram encontradas 50 questões.

591311 Ano: 2008
Disciplina: Matemática
Banca: FCC
Orgão: METRO-SP

Considere que, num dado momento, todas as 18 mesas do refeitório de uma empresa estavam ocupadas: algumas por apenas duas pessoas e as demais por apenas quatro, num total de 48 pessoas. Nessas condições, é correto afirmar que, naquele instante, o número de mesas ocupadas por quatro pessoas era

 

Provas

Questão presente nas seguintes provas
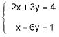
591310 Ano: 2008
Disciplina: Matemática
Banca: FCC
Orgão: METRO-SP

Num sistema de eixos cartesianos, a representação da solução do sistema enunciado 591310-1 é um ponto pertencente ao

 

Provas

Questão presente nas seguintes provas
591309 Ano: 2008
Disciplina: Matemática
Banca: FCC
Orgão: METRO-SP

Quantos números inteiros x, tais que –20 < × < 20, satisfazem a sentençaenunciado 591309-1 ?

 

Provas

Questão presente nas seguintes provas
591308 Ano: 2008
Disciplina: Matemática
Banca: FCC
Orgão: METRO-SP

Um ajudante de manutenção perguntou a seu supervisor quantas valas haviam sido abertas no dia anterior. O supervisor respondeu que, subtraindo-se 64 unidades do triplo do quíntuplo do número de valas abertas, obtém-se a terça parte do número de valas abertas, acrescida de 24 unidades. Supondo que o ajudante tenha resolvido corretamente o problema proposto pelo seu supervisor, então, a solução por ele encontrada era um número compreendido entre

 

Provas

Questão presente nas seguintes provas
591307 Ano: 2008
Disciplina: Matemática
Banca: FCC
Orgão: METRO-SP

Sabe-se que uma praça de formato retangular tem 594 m de perímetro. Se a razão entre as medidas da largura e do comprimento dessa praça, nesta ordem, é igual a 4/7, então a área de sua superfície, em metros quadrados, é

 

Provas

Questão presente nas seguintes provas
591306 Ano: 2008
Disciplina: Matemática
Banca: FCC
Orgão: METRO-SP

Talita foi a uma lanchonete e usou uma nota de 10 reais para pagar uma despesa de R$ 9,25. Sabe-se que:

– no caixa da lanchonete só havia moedas de 5, 10 e 25 centavos, em quantidades suficientes para compor o troco devido de todos os modos possíveis;

– Talita pediu que o troco lhe fosse pago com, no máximo, 9 moedas.

Se o pedido de Talita foi aceito, de quantos modos distintos podem ter sido combinadas as moedas que totalizavam o troco que lhe era devido?

 

Provas

Questão presente nas seguintes provas
591305 Ano: 2008
Disciplina: Matemática Financeira
Banca: FCC
Orgão: METRO-SP

Diariamente, em uma obra é acionada uma sirene para assinalar o início do intervalo para o almoço dos funcionários que lá trabalham. Supondo que a duração do intervalo para o almoço seja de 1 hora e 30 minutos, então, se a sirene tocar quando forem decorridos 47/96 de certo dia, os funcionários deverão retomar o trabalho às

 

Provas

Questão presente nas seguintes provas
591304 Ano: 2008
Disciplina: Matemática
Banca: FCC
Orgão: METRO-SP

Em uma obra de uma estação do Metrô foi aberta uma vala que tem o formato de um bloco retangular cujas dimensões são: 8,5 m de comprimento, 4,4 m de largura e 5 m de altura. O número de litros de água necessários para encher totalmente essa vala é

 

Provas

Questão presente nas seguintes provas
591303 Ano: 2008
Disciplina: Matemática
Banca: FCC
Orgão: METRO-SP

Considere que uma determinada carreta pode transportar uma carga máxima de 6,35 toneladas. Essa carreta deverá ser carregada com estruturas de ferro, cada qual acondicionada em uma caixa de madeira. Se cada estrutura pesa 54 kg e cada caixa vazia pesa 3 200 g, o maior número de caixas contendo estruturas que tal carreta poderá transportar é

 

Provas

Questão presente nas seguintes provas
591302 Ano: 2008
Disciplina: Matemática Financeira
Banca: FCC
Orgão: METRO-SP

Ao comparar as quantias em cédulas e moedas que tinham em seus bolsos, três amigos – Almir, Bento e Carmo – observaram que: Almir tinha 75% da quantia de Bento que, por sua vez, tinha 75% da quantia de Carmo. Se as quantias que os três tinham nos bolsos totalizavam R$ 92,50, então

 

Provas

Questão presente nas seguintes provas