Foram encontradas 915 questões.
Considere uma residência com a seguinte divisão de circuitos e as respectivas cargas:
|
C1→ 1.000 (luz) C2→ 1.200 (luz) C3→ 5.000 (chuveiro) |
C4→ 1.400 (TUG) C5→ 1.200 (TUG) C6→ 3.000 (forno elétrico) |
Todas as unidades estão em watts (W).
Com base nas informações apresentadas, assinale a alternativa que determina a demanda instalada, considerando os fatores de demanda hipotéticos a seguir: fator de demanda de iluminação + TUGs = 0,57 e fator de demanda das TUEs = 0,92.
Provas
Para a elaboração de projetos de instalações elétricas de baixa tensão, devem-se aplicar as atribuições da norma vigente. No entanto, esta se restringe a certas circunstâncias. A esse respeito, a NBR 5410/2008 não se aplica em
Provas
O dimensionamento das calhas deve ser feito pela fórmula de Manning-Strickler. Entre os parâmetros considerados diretamente nessa fórmula, é correto afirmar que estão inclusos a (o)
Provas
De acordo com o ciclo PDCA, criado por Walter Shewart na década de 1920 e que, desde a década de 1980, vem sendo aplicado ao gerenciamento de obras, assinale a alternativa correta.
Provas
Acerca das instalações hidráulicas prediais de água fria, assinale a alternativa que apresenta a definição correta de acordo com a NBR 5626/1998.
Provas
Considerando os documentos técnicos de um projeto arquitetônico para execução, que um engenheiro ou arquiteto deve apresentar, é correto afirmar que, entre eles, estão obrigatoriamente a planta
Provas
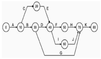
Os diagramas PERT-CPM permitem que sejam indicadas as relações lógicas de precedência entre as inúmeras atividades de um projeto.

Com base nessas informações e considerando o diagrama apresentado, é correto afirmar que
Provas
De acordo com Brito (1987, apud MELHADO, 2002), consiste em um poço aberto manualmente ou mecanicamente em solos coesivos, de modo que não haja desmoronamento durante a escavação, e acima do nível d’água. Quando há tendência de desmoronamento, reveste-se o furo com alvenaria de tijolo, tubo de concreto ou tubo de aço. O fuste é escavado até a cota desejada, a base é alargada e posteriormente enche-se de concreto.
As informações apresentadas se referem ao (à)
Provas
Com relação às implicações das instalações do canteiro de obras, assinale a alternativa correta.
Provas

A figura apresentada indica uma estrutura da equipe de gerenciamento próprio de uma obra de pequeno porte.
Com base no exposto, assinale a alternativa que determina, respectivamente, as funções que pertencem a cada hierarquia.
Provas
Caderno Container