Foram encontradas 160 questões.
O enunciado seguinte diz respeito às questões 11, 12 e 13.
No ajuste do modelo econométrico

e a matriz de variâncias e covariâncias

Assinale a opção que corresponde à estimativa do aumento relativo de consumo θ decorrente do aumento de 2% na renda e da redução de 1% no preço.
Provas
Para uma amostra aleatória de tamanho 49 da distribuição com massa de probabilidades

Provas
Tem-se uma amostra de tamanho 30 da distribuição normal com média θ ≥ 0 e variância unitária. O valor encontrado para a média amostral foi -1,0. Assinale a opção que dá o valor da estimativa de máxima verossimilhança de θ .
Provas
- Estatística DescritivaMedidas de DispersãoCovariância e Correlação
- Estatística DescritivaNúmeros índices
O relativo de preços para determinado produto apresenta a seguinte evolução com base em 1997:

Provas
As questões 06 e 07 dizem respeito ao enunciado seguinte:

Assinale a opção que dá o valor da função potência do teste estatístico descrito na questão 06 quando μ=39 horas.
Provas
As questões 06 e 07 dizem respeito ao enunciado seguinte:

Assinale a opção que dá o valor probabilístico (p-valor) do teste constituído com base na estatística
.
Provas
Deseja-se estimar o gasto médio efetuado por grupos de 4 pessoas, num restaurante, por meio de um intervalo de confiança com coeficiente de 95%. Uma amostra de 16 grupos produziu os valores R$ 150,00 e R$ 20,00 para a média e o desvio padrão amostrais, respectivamente. Assinale a opção que corresponde ao intervalo procurado. Use a hipótese de normalidade da distribuição dos gastos e a tabela abaixo da função de distribuição de Student ( r T ) para a escolha do quantil apropriado aos cálculos.

Provas
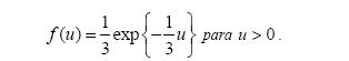
As variáveis aleatórias X e Y são distribuídas independentemente com função densidade de probabilidades comum

Seja Z=X+XY. Assinale a opção que corresponde à variância da esperança condicional de Z dado Y.
Provas
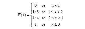
A variável aleatória X tem função de distribuição de probabilidades

Provas
Para uma amostra aleatória de determinado atributo encontrou-se a seguinte distribuição de freqüências. Não existem observações coincidentes com os extremos das classes.

Provas
Caderno Container