Foram encontradas 79 questões.
Provas
Provas
Provas
Provas
Provas
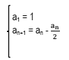
Considere a sequência:

O valor da soma de todos os termos desta sequência é igual a:
Provas

Provas
TEXTO I
A Última Crônica
A caminho de casa, entro num botequim da Gávea para tomar um café junto ao balcão. Na realidade estou adiando o momento de escrever. A perspectiva me assusta. Gostaria de estar inspirado, de coroar com êxito mais um ano nesta busca do pitoresco ou do irrisório no cotidiano de cada um. Eu pretendia apenas recolher da vida diária algo de seu disperso conteúdo humano, fruto da convivência, que a faz mais digna de ser vivida. Visava ao circunstancial, ao episódico. Nesta perseguição do acidental, quer num flagrante de esquina, quer nas palavras de uma criança ou num acidente doméstico, torno-me simples espectador e perco a noção do essencial. Sem mais nada para contar, curvo a cabeça e tomo meu café, enquanto o verso do poeta se repete na lembrança: “assim eu quereria o meu último poema”. Não sou poeta e estou sem assunto. Lanço então um último olhar fora de mim, onde vivem os assuntos que merecem uma crônica.
Ao fundo do botequim um casal de pretos acaba de sentar-se, numa das últimas mesas de mármore ao longo da parede de espelhos. A compostura da humildade, na contenção de gestos e palavras, deixa-se acrescentar pela presença de uma negrinha de seus três anos, laço na cabeça, toda arrumadinha no vestido pobre, que se instalou também à mesa: mal ousa balançar as perninhas curtas ou correr os olhos grandes de curiosidade ao redor. Três seres esquivos que compõem em torno à mesa a instituição tradicional da família, célula da sociedade. Vejo, porém, que se preparam para algo mais que matar a fome.
Passo a observá-los. O pai, depois de contar o dinheiro que discretamente retirou do bolso, aborda o garçom, inclinando-se para trás na cadeira, e aponta no balcão um pedaço de bolo sob a redoma. A mãe limita-se a ficar olhando imóvel, vagamente ansiosa, como se aguardasse a aprovação do garçom. Este ouve, concentrado, o pedido do homem e depois se afasta para atendê-lo. A mulher suspira, olhando para os lados, a reassegurar-se da naturalidade de sua presença ali. A meu lado o garçom encaminha a ordem do freguês.
O homem atrás do balcão apanha a porção do bolo com a mão, larga-o no pratinho – um bolo simples, amarelo-escuro, apenas uma pequena fatia triangular. A negrinha, contida na sua expectativa, olha a garrafa de Coca-Cola e o pratinho que o garçom deixou à sua frente. Por que não começa a comer? Vejo que os três, pai, mãe e filha, obedecem em torno à mesa um discreto ritual. A mãe remexe na bolsa de plástico preto e brilhante, retira qualquer coisa. O pai se mune de uma caixa de fósforos, e espera. A filha aguarda também, atenta como um animalzinho. Ninguém mais os observa além de mim.
São três velinhas brancas, minúsculas, que a mãe espeta caprichosamente na fatia do bolo. E enquanto ela serve a Coca-Cola, o pai risca o fósforo e acende as velas. Como a um gesto ensaiado, a menininha repousa o queixo no mármore e sopra com força, apagando as chamas. Imediatamente põe-se a bater palmas, muito compenetrada, cantando num balbucio, a que os pais se juntam, discretos: “Parabéns pra você, parabéns pra você…” Depois a mãe recolhe as velas, torna a guardá-las na bolsa. A negrinha agarra finalmente o bolo com as duas mãos sôfregas e põe-se a comê-lo. A mulher está olhando para ela com ternura – ajeita-lhe a fitinha no cabelo crespo, limpa o farelo de bolo que lhe cai ao colo. O pai corre os olhos pelo botequim, satisfeito, como a se convencer intimamente do sucesso da celebração. Dá comigo de súbito, a observá-lo, nossos olhos se encontram, ele se perturba, constrangido – vacila, ameaça abaixar a cabeça, mas acaba sustentando o olhar e enfim se abre num sorriso.
Assim eu quereria minha última crônica: que fosse pura como esse sorriso.”
Fernando Sabino Disponível em http://contobrasileiro.com.br/a-ultima-cronica-fernando-sabino/.
Provas
TEXTO I
A Última Crônica
A caminho de casa, entro num botequim da Gávea para tomar um café junto ao balcão. Na realidade estou adiando o momento de escrever. A perspectiva me assusta. Gostaria de estar inspirado, de coroar com êxito mais um ano nesta busca do pitoresco ou do irrisório no cotidiano de cada um. Eu pretendia apenas recolher da vida diária algo de seu disperso conteúdo humano, fruto da convivência, que a faz mais digna de ser vivida. Visava ao circunstancial, ao episódico. Nesta perseguição do acidental, quer num flagrante de esquina, quer nas palavras de uma criança ou num acidente doméstico, torno-me simples espectador e perco a noção do essencial. Sem mais nada para contar, curvo a cabeça e tomo meu café, enquanto o verso do poeta se repete na lembrança: “assim eu quereria o meu último poema”. Não sou poeta e estou sem assunto. Lanço então um último olhar fora de mim, onde vivem os assuntos que merecem uma crônica.
Ao fundo do botequim um casal de pretos acaba de sentar-se, numa das últimas mesas de mármore ao longo da parede de espelhos. A compostura da humildade, na contenção de gestos e palavras, deixa-se acrescentar pela presença de uma negrinha de seus três anos, laço na cabeça, toda arrumadinha no vestido pobre, que se instalou também à mesa: mal ousa balançar as perninhas curtas ou correr os olhos grandes de curiosidade ao redor. Três seres esquivos que compõem em torno à mesa a instituição tradicional da família, célula da sociedade. Vejo, porém, que se preparam para algo mais que matar a fome.
Passo a observá-los. O pai, depois de contar o dinheiro que discretamente retirou do bolso, aborda o garçom, inclinando-se para trás na cadeira, e aponta no balcão um pedaço de bolo sob a redoma. A mãe limita-se a ficar olhando imóvel, vagamente ansiosa, como se aguardasse a aprovação do garçom. Este ouve, concentrado, o pedido do homem e depois se afasta para atendê-lo. A mulher suspira, olhando para os lados, a reassegurar-se da naturalidade de sua presença ali. A meu lado o garçom encaminha a ordem do freguês.
O homem atrás do balcão apanha a porção do bolo com a mão, larga-o no pratinho – um bolo simples, amarelo-escuro, apenas uma pequena fatia triangular. A negrinha, contida na sua expectativa, olha a garrafa de Coca-Cola e o pratinho que o garçom deixou à sua frente. Por que não começa a comer? Vejo que os três, pai, mãe e filha, obedecem em torno à mesa um discreto ritual. A mãe remexe na bolsa de plástico preto e brilhante, retira qualquer coisa. O pai se mune de uma caixa de fósforos, e espera. A filha aguarda também, atenta como um animalzinho. Ninguém mais os observa além de mim.
São três velinhas brancas, minúsculas, que a mãe espeta caprichosamente na fatia do bolo. E enquanto ela serve a Coca-Cola, o pai risca o fósforo e acende as velas. Como a um gesto ensaiado, a menininha repousa o queixo no mármore e sopra com força, apagando as chamas. Imediatamente põe-se a bater palmas, muito compenetrada, cantando num balbucio, a que os pais se juntam, discretos: “Parabéns pra você, parabéns pra você…” Depois a mãe recolhe as velas, torna a guardá-las na bolsa. A negrinha agarra finalmente o bolo com as duas mãos sôfregas e põe-se a comê-lo. A mulher está olhando para ela com ternura – ajeita-lhe a fitinha no cabelo crespo, limpa o farelo de bolo que lhe cai ao colo. O pai corre os olhos pelo botequim, satisfeito, como a se convencer intimamente do sucesso da celebração. Dá comigo de súbito, a observá-lo, nossos olhos se encontram, ele se perturba, constrangido – vacila, ameaça abaixar a cabeça, mas acaba sustentando o olhar e enfim se abre num sorriso.
Assim eu quereria minha última crônica: que fosse pura como esse sorriso.”
Fernando Sabino Disponível em http://contobrasileiro.com.br/a-ultima-cronica-fernando-sabino/.
Provas
TEXTO I
A Última Crônica
A caminho de casa, entro num botequim da Gávea para tomar um café junto ao balcão. Na realidade estou adiando o momento de escrever. A perspectiva me assusta. Gostaria de estar inspirado, de coroar com êxito mais um ano nesta busca do pitoresco ou do irrisório no cotidiano de cada um. Eu pretendia apenas recolher da vida diária algo de seu disperso conteúdo humano, fruto da convivência, que a faz mais digna de ser vivida. Visava ao circunstancial, ao episódico. Nesta perseguição do acidental, quer num flagrante de esquina, quer nas palavras de uma criança ou num acidente doméstico, torno-me simples espectador e perco a noção do essencial. Sem mais nada para contar, curvo a cabeça e tomo meu café, enquanto o verso do poeta se repete na lembrança: “assim eu quereria o meu último poema”. Não sou poeta e estou sem assunto. Lanço então um último olhar fora de mim, onde vivem os assuntos que merecem uma crônica.
Ao fundo do botequim um casal de pretos acaba de sentar-se, numa das últimas mesas de mármore ao longo da parede de espelhos. A compostura da humildade, na contenção de gestos e palavras, deixa-se acrescentar pela presença de uma negrinha de seus três anos, laço na cabeça, toda arrumadinha no vestido pobre, que se instalou também à mesa: mal ousa balançar as perninhas curtas ou correr os olhos grandes de curiosidade ao redor. Três seres esquivos que compõem em torno à mesa a instituição tradicional da família, célula da sociedade. Vejo, porém, que se preparam para algo mais que matar a fome.
Passo a observá-los. O pai, depois de contar o dinheiro que discretamente retirou do bolso, aborda o garçom, inclinando-se para trás na cadeira, e aponta no balcão um pedaço de bolo sob a redoma. A mãe limita-se a ficar olhando imóvel, vagamente ansiosa, como se aguardasse a aprovação do garçom. Este ouve, concentrado, o pedido do homem e depois se afasta para atendê-lo. A mulher suspira, olhando para os lados, a reassegurar-se da naturalidade de sua presença ali. A meu lado o garçom encaminha a ordem do freguês.
O homem atrás do balcão apanha a porção do bolo com a mão, larga-o no pratinho – um bolo simples, amarelo-escuro, apenas uma pequena fatia triangular. A negrinha, contida na sua expectativa, olha a garrafa de Coca-Cola e o pratinho que o garçom deixou à sua frente. Por que não começa a comer? Vejo que os três, pai, mãe e filha, obedecem em torno à mesa um discreto ritual. A mãe remexe na bolsa de plástico preto e brilhante, retira qualquer coisa. O pai se mune de uma caixa de fósforos, e espera. A filha aguarda também, atenta como um animalzinho. Ninguém mais os observa além de mim.
São três velinhas brancas, minúsculas, que a mãe espeta caprichosamente na fatia do bolo. E enquanto ela serve a Coca-Cola, o pai risca o fósforo e acende as velas. Como a um gesto ensaiado, a menininha repousa o queixo no mármore e sopra com força, apagando as chamas. Imediatamente põe-se a bater palmas, muito compenetrada, cantando num balbucio, a que os pais se juntam, discretos: “Parabéns pra você, parabéns pra você…” Depois a mãe recolhe as velas, torna a guardá-las na bolsa. A negrinha agarra finalmente o bolo com as duas mãos sôfregas e põe-se a comê-lo. A mulher está olhando para ela com ternura – ajeita-lhe a fitinha no cabelo crespo, limpa o farelo de bolo que lhe cai ao colo. O pai corre os olhos pelo botequim, satisfeito, como a se convencer intimamente do sucesso da celebração. Dá comigo de súbito, a observá-lo, nossos olhos se encontram, ele se perturba, constrangido – vacila, ameaça abaixar a cabeça, mas acaba sustentando o olhar e enfim se abre num sorriso.
Assim eu quereria minha última crônica: que fosse pura como esse sorriso.”
Fernando Sabino Disponível em http://contobrasileiro.com.br/a-ultima-cronica-fernando-sabino/.
Provas
Caderno Container