Foram encontradas 410 questões.
As questões 37 e 38 dizem respeito ao enunciado seguinte: A tabela abaixo dá a distribuição de freqüências de um atributo X para uma amostra de tamanho 66. As observações foram agrupadas em 9 classes de tamanho 5. Não existem observações coincidentes com os extremos das classes.

Assinale a opção que dá a estimativa da probabilidade de que X seja menor ou igual a 32,2.
Provas
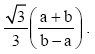
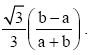
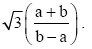
Sabe-se que a variável aleatória X tem distribuição
de probabilidades uniforme no intervalo (a,b) com
0<a<b. Assinale a opção correta.
<A<B. p correta.< opção a Assinale>Provas
Um título no valor nominal de R$ 10.900,00 deve sofrer um desconto comercial simples de R$ 981,00 três meses antes do seu vencimento. Todavia uma negociação levou a troca do desconto comercial por um desconto racional simples. Calcule o novo desconto, considerando a mesma taxa de desconto mensal.
Provas
Um financiamento habitacional no valor de R$ 120.000,00 vai ser pago por prestações mensais calculadas pelo sistema de amortizações constantes, a uma taxa de juros nominal de 12% ao ano, durante dez anos. Calcule a décima prestação mensal do financiamento.
Provas
Obtenha o valor mais próximo da quantia que deve ser depositada ao fim de cada mês, considerando uma taxa de rendimento de 2% ao mês, juros compostos, com o objetivo de se obter R$ 50.000,00 ao fim de dez meses.
Provas
Calcule o montante obtido ao fim de dezoito meses por um capital unitário aplicado a uma taxa de juros nominal de 36% ao ano com capitalização mensal.
Provas
Obtenha o valor mais próximo da taxa interna de retorno do fluxo de caixa abaixo.
Ano 0 1 a 2 3 a 10
Fluxo (em R$ 1.000,00) - 20.000 2.000 4.000
Provas
Um consumidor compra um bem de consumo durável no valor de R$ 15.000,00 financiado totalmente em dezoito prestações mensais de R$ 1.184,90, vencendo a primeira prestação ao fim do primeiro mês. Junto com o pagamento da décima segunda prestação o consumidor acerta com o financiador o refinanciamento do saldo devedor em doze prestações mensais à mesma taxa de juros, vencendo a primeira prestação ao fim do primeiro mês seguinte. Calcule o valor mais próximo da nova prestação mensal.
Provas
Uma empresa possui uma taxa de atratividade mínima de 12% ao ano e está considerando uma proposta de investir hoje R$ 20.000.000,00 para obter receitas previstas de R$ 3.000.000,00 ao fim de cada um dos próximos dez anos. Obtenha a decisão da empresa baseada no critério do valor atual do fluxo de caixa previsto da empresa.
Provas
Uma pessoa física recebeu um empréstimo de um banco comercial no valor de R$ 10.000,00 por um prazo de três meses para pagar de volta este valor acrescido de 15% de juros ao fim do prazo. Todavia, a pessoa só pode usar em proveito próprio 75% do empréstimo, porque, por força do contrato, usou o restante para fazer uma aplicação no próprio banco que rendeu R$ 150,00 ao fim dos três meses. Indique qual foi a taxa efetiva de juros paga pela pessoa física sobre a parte do empréstimo que utilizou em proveito próprio.
Provas
Caderno Container