Foram encontradas 1.803 questões.
Acerca dos sistemas analógicos e digitais de comunicação e
telecomunicação, julgue os itens de 89 a 92.
O receptor super-heteródino realiza a demodulação e a
sintonização da frequência da portadora. Contudo, não há
previsão de seções que realizem as tarefas de filtragem e
amplificação em sua construção.Provas
Questão presente nas seguintes provas
Com relação aos computadores digitais e às memórias principais de
microprocessadores, julgue os itens que se seguem.
A SDRAM (synchronous dynamic random access memory) é
sincronizada com o barramento do sistema, na transição de
subida do clock da placa-mãe. Esse processo faz que a unidade
de processamento central (CPU) reconheça exatamente quando
os dados estarão disponíveis.Provas
Questão presente nas seguintes provas
Com relação aos computadores digitais e às memórias principais de
microprocessadores, julgue os itens que se seguem.
Memórias EPROM (erasable programable read-only memory)
são voláteis, ou seja, caso falte alimentação, os dados serão
apagados ou perderão sua integridade. Por essa razão,
recomenda-se a utilização de baterias para se preservar as
informações armazenadas.Provas
Questão presente nas seguintes provas
Com relação aos computadores digitais e às memórias principais de
microprocessadores, julgue os itens que se seguem.
A memória virtual permite a expansão do endereçamento de
um programa para além dos limites da memória principal, o
que, atualmente, possibilita o compartilhamento da memória
virtual entre diversos processos ativos.Provas
Questão presente nas seguintes provas
Com relação aos computadores digitais e às memórias principais de
microprocessadores, julgue os itens que se seguem.
As memórias de um computador são organizadas de forma
hierárquica. Assim, quanto mais próxima a memória estiver do
processador, menores serão o seu custo, a velocidade de acesso
e o tamanho da memória.Provas
Questão presente nas seguintes provas
A utilização da família TTL (transistor-transistor logic)
apresenta como vantagem a ausência de corrente na entrada
quando a função lógica está no nível 0, não havendo, portanto,
necessidade de suprimento da parte do circuito que excitará a
porta quando o nível lógico for 1.
Provas
Questão presente nas seguintes provas
A família TTL (transistor-transistor logic) utiliza transistores
bipolares em sua construção, ao passo que a família CMOS
(complementary-MOS) adota transistores MOSFET
(metal-oxide-semiconductor field effect transistor). Uma das
vantagens da família CMOS é a baixa dissipação de potência,
se comparada com outras famílias.
Provas
Questão presente nas seguintes provas
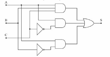
O circuito ilustrado na figura a seguir

pode ser simplificado para o seguinte circuito.
![]()
Provas
Questão presente nas seguintes provas
Em codificação binária, o número 1011 corresponde a 10 em
octal, a 11 em decimal e a D em hexadecimal.
Provas
Questão presente nas seguintes provas

Considerando que, os circuitos apresentados nas figuras acima, os amplificadores operacionais sejam ideais, alimentados por fontes simétricas de ±12 V e nunca operem em saturação, julgue os itens subsequentes, relativos a esses circuitos e às características dos amplificadores operacionais.
Provas
Questão presente nas seguintes provas
Cadernos
Caderno Container