Magna Concursos

Foram encontradas 1.410 questões.

73299 Ano: 2011
Disciplina: Direito Administrativo
Banca: FCC
Orgão: INFRAERO

Uma das características do Projeto Básico é a definição das quantidades e os custos de serviços com valores compatíveis com o tipo e porte da obra, de tal forma a ensejar a determinação do custo global da obra com uma precisão

 

Provas

Questão presente nas seguintes provas
73298 Ano: 2011
Disciplina: Direito Administrativo
Banca: FCC
Orgão: INFRAERO

O objetivo primário de um Projeto Executivo relacionado com obra de engenharia, para atender a uma necessidade da Administração Pública, é

 

Provas

Questão presente nas seguintes provas
73297 Ano: 2011
Disciplina: Engenharia Civil
Banca: FCC
Orgão: INFRAERO

Uma obra de engenharia requer que sejam concentrados esforços na busca de se manter sobre controle as variáveis ou restrições que afetam diretamente o empreendimento, as quais são conhecidas como “triângulo da gerência de projeto”.

Nesse contexto, as referidas variáveis que devem ser gerenciadas são:

 

Provas

Questão presente nas seguintes provas
73296 Ano: 2011
Disciplina: Engenharia Civil
Banca: FCC
Orgão: INFRAERO

Para a elaboração do orçamento de uma obra de engenharia é necessário o planejamento da execução das seguintes fases:

I. Calcular o BDI.

II. Efetuar Análise detalhada do projeto.

III. Listar todos os serviços previstos.

IV. Calcular os custos unitários de cada serviço.

V. Especificar unidades de medição.

Considerando APENAS os dados apresentados, a ordem sequencial correta das fases para a conclusão do orçamento, corresponde a:

 

Provas

Questão presente nas seguintes provas
73295 Ano: 2011
Disciplina: Direito Administrativo
Banca: FCC
Orgão: INFRAERO

O uso de sistemas referenciais de preços evita composições que estão em desacordo com as especificações técnicas ou com os critérios de medição e pagamento do serviço a ser orçado.

Um dos sistemas de referência de preços utilizados pela Administração Pública Federal é o

 

Provas

Questão presente nas seguintes provas
73294 Ano: 2011
Disciplina: Direito Administrativo
Banca: FCC
Orgão: INFRAERO

É correto afirmar que a Lei nº 8.666 de 1993, que institui normas para licitações e contratos da Administração Pública, alterada pelas Leis nº 8.883 de 1994 e nº 9.648 de 1998, estabelece que

 

Provas

Questão presente nas seguintes provas
73293 Ano: 2011
Disciplina: Engenharia Civil
Banca: FCC
Orgão: INFRAERO

Considere as seguintes afirmações sobre os serviços de manutenção predial.

I. A manutenção de edificações visa a preservar ou recuperar as condições ambientais adequadas ao uso previsto para as edificações.

II. A manutenção de edificações não inclui serviços realizados para alterar o uso da edificação.

III. Os padrões de operação do sistema de manutenção devem ser definidos tendo em consideração preceitos legais, regulamentos e normas aplicáveis pela legislação vigente.

IV. Todos os serviços de manutenção devem ser definidos em planos de curto, médio e longo prazos, de maneira a coordenar os serviços de manutenção para reduzir a necessidade de sucessivas intervenções.

Está correto o que se afirma em

 

Provas

Questão presente nas seguintes provas
73292 Ano: 2011
Disciplina: Engenharia Civil
Banca: FCC
Orgão: INFRAERO

O custo de instalação de um interruptor de uma tecla simples em caixa 4” × 2” com eletroduto de aço galvanizado a quente, considerando material e mão de obra (sem os encargos sociais) é de R$ 67,79, conforme a tabela a seguir:

Insumo

Unidade Índice Custo Unitário (R$)

Custo Total (R$)

eletricista

h 2,2 5,30 11,66

ajudante

h 2,2 4,08 8,98

eletroduto de aço galvanizado a quente diâmetro 20 mm (3/4”)

m 3,0 9,51 28,53

fio 2,5 mm2 (isolação antichama 750 V)

m 6,0 0,86 5,16

condulete de alumínio 4”×2” “C” D=3/4”

un 1,0 10,53 10,53

interruptor 1 tecla sem espelho

un 1,0 2,93 2,93

Total

67,79

É correto afirmar que

 

Provas

Questão presente nas seguintes provas
73291 Ano: 2011
Disciplina: Engenharia Civil
Banca: FCC
Orgão: INFRAERO

No mês seguinte à assinatura de um contrato de serviço de uma obra de construção civil, observou-se que os custos da composição aumentaram 4%. No segundo mês houve diminuição de 2% em relação ao primeiro mês e no terceiro mês houve aumento de 3% em relação ao segundo mês.

Após atualização dos custos, considerando os três meses consecutivos, observouse que, em relação aos inicialmente calculados, os custos

 

Provas

Questão presente nas seguintes provas
73290 Ano: 2011
Disciplina: Engenharia Civil
Banca: FCC
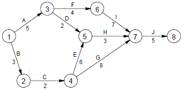
Orgão: INFRAERO

Considere a rede da figura.

Enunciado 3456068-1

A rede da figura representa uma obra de construção civil. Os círculos representam os eventos e as letras representam as atividades, cuja duração, em dias, é indicada ao seu lado inferior.

Os serviços que definem o caminho crítico são, respectivamente,

 

Provas

Questão presente nas seguintes provas