Foram encontradas 80 questões.
Com relação à série de decaimento radioativo do 92U238 até o 82Pb206, a única alternativa INCORRETA é:
Provas
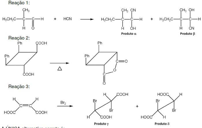
Considere as três propostas de reação a seguir.

A ÚNICA alternativa correta é:
Provas
Óxido de ferro II pode ser reduzido a ferro, tanto por carbono, como por monóxido de carbono, de acordo com o mostrado nas equações
1 e 2: 1. FeO(s) + C(s) −−→ Fe(s) + CO(g)
2. FeO(s) + CO(g) −−→ Fe(s) + CO2(g)
Os valores de entalpia de formação e de entropia-padrão das substâncias envolvidas em ambas reações são apresentados na tabela:
| FeO(s) | Fe(s) | C(s) | CO(g) | CO2(g) |
|
| \( \Delta H^o_f \) (kJ.mol−1) |
−271,9 | 0 | 0 | -110,5 | -393,5 |
| Sº (J.K−1.mol−1) |
60,8 | 27,3 | 5,7 | 197,9 | 213,7 |
Considere um meio reacional fechado onde ocorrem as duas reações e que os valores acima permanecem constantes na faixa de 298 a 650 K. A ÚNICA alternativa correta é:
Provas
Uma mistura dos sais hidratados Na2SO4 · 10 H2O e Na2CO3 · 10 H2O, com massa de 602 kg, é aquecida até a temperatura suficiente para a remoção total da água de hidratação. A massa final da mistura de sais anidros é 242 kg.
Dados:
| MH2O = 18,0 kg.kmol−1 |
MNa2SO4 = 142 kg.kmol−1 | MNa2CO3 = 106 kg.kmol−1 |
A razão molar \( Na_2SO_4/Na_2CO_3 \) entre os sais anidros é:
Provas
Analise as afirmativas abaixo.
I. A imersão de limalha de ferro em um béquer aberto contendo uma solução de ácido clorídrico provoca a liberação de bolhas de gás. Nesse processo, não há realização nem recebimento de trabalho.
II. Uma solução de ácido iodídrico de concentração igual a 1,0 \( \times \) 10−8 mol.L−1 tem pH igual a 8.
III. Se dois béqueres, um contendo água pura e o outro contendo uma solução insaturada de sacarose, forem submetidos ao aquecimento, a solução de sacarose ebulirá a uma temperatura constante e superior à temperatura de ebulição da água pura.
IV. Para a reação de combustão completa do gás metano, gerando apenas produtos gasosos, as variações de entalpia e de energia interna têm o mesmo valor.
A única alternativa CORRETA é:
Provas
Em todos os seres vivos, as proteínas são um importante grupo de substâncias. Sobre a estrutura das proteínas, analise as afirmativas abaixo.
I. A estrutura primária de uma proteína é a sequência de alfa-aminoácidos, tais como glicina, alanina e citosina, ligados por ligações peptídicas.
II. A estrutura secundária é mantida por ligações de hidrogênio entre os grupos −NH e C−− O, próximos entre si, na disposição espacial da proteína.
III. A estrutura terciária é estabilizada por interações hidrofóbicas, hidrofílicas, iônicas e ligações dissulfeto.
IV. A estrutura quaternária refere-se ao arranjo de múltiplas subunidades polipeptídicas que podem, por ação de agentes químicos ou físicos, ser alteradas ou destruídas através do fenômeno conhecido como desnaturação proteica, perdendo sua atividade biológica.
V. As proteínas apresentam estruturas geométricas de vários tipos e podem ser caracterizadas pela produção de colorações, como por exemplo, a reação da proteína da pele com ácido nítrico, formando uma coloração azulada.
A opção que apresenta APENAS afirmativas verdadeiras é:
Provas
Uma solução foi preparada com 1800 g de ácido sulfúrico puro e 2000 L de água deionizada, sendo, em seguida, eletrolisada. Uma amostra de 100 mL da solução resultante foi titulada com soluçãopadrão 0,1 M de hidróxido de sódio, tendo sido necessários 20,4 mL dessa solução para neutralizar a amostra. Considere que a massa específica do ácido sulfúrico vale 1800 g.L−1 e que misturas desse ácido em água se comportam idealmente no que se refere ao volume de mistura.
A alternativa que contém o volume aproximado de gás gerado na eletrólise, em m3, medido nas CNTP, é:
Provas
Para uma solução aquosa contendo sacarose em \( m \) kg de água, a diferença entre as temperaturas de ebulição e de congelamento, à pressão de 1 atm, é de \( \Delta T \) em \( K \). A massa molar da sacarose é \( M g.mol^{−1} \) e as constantes ebulioscópica e crioscópica da água são, respectivamente, \( K_e \) e \( K_c \), expressas em \( K.kg.mol^{−1} \). A expressão que indica o valor da massa de sacarose em gramas, na solução, é:
Provas
Uma mistura de um monoácido orgânico e um monoálcool primário, em uma proporção molar 1: 2, foi tratada com uma quantidade catalítica de ácido sulfúrico concentrado sob condições de volume e temperatura constantes. Após um período de reação suficientemente longo, em um sistema fechado, foi observado que a reação apresentou uma conversão de 87,5% do monoácido.
Se o mesmo tratamento for aplicado a uma mistura equimolar desses mesmos compostos, a conversão esperada do monoácido e o grupo funcional do produto principal serão:
Provas
A figura a seguir mostra esquematicamente um dispositivo eletroquímico composto pelas meiascélulas X e Y.

Dados: Potenciais-padrão de redução das espécies químicas envolvidas.
| \( E^o_X = -1,85V \) | \( E^o_Y = -2,93V \) |
Com base no esquema eletroquímico apresentado na figura e nos dados fornecidos, analise as proposições a seguir na condição do circuito fechado.
I. A semirreação representada pela equação estequiométrica \( X^0 \rightarrow X^{+2} + 2 e^- \) é espontânea por ser de oxidação.
II. O fluxo de elétrons ocorre no sentido horário, indo do anodo para catodo.
III. A corrente iônica circula pelos eletrodos e fios metálicos.
IV. O eletrodo da meia-célula \( X \) é o catodo onde ocorre reação de redução.
V. As reações eletroquímicas podem ser representadas pelas seguintes equações estequiométricas:
\( X^{+2} + 2e^- \rightarrow X^0 \)
\( 2Y^0 \rightarrow 2Y^+ + 2e^- \)
A opção que apresenta APENAS afirmativas verdadeiras é:
Provas
Caderno Container