Foram encontradas 340 questões.
Considere o modelo de um fluido em
equilíbrio no campo gravitacional. Admitindo que
o fluido é um gás ideal contido na atmosfera
isotérmica, e sabendo que a densidade e a
pressão em z = 0 são ρº e Pº, pode-se concluir
que a pressão em função da altitude z é ( g é
intensidade da gravidade):


Provas
Questão presente nas seguintes provas
Em um laboratório de pesquisa (referencial
R), uma partícula apresenta velocidade
u = (0,3c)i + (0,4c) j (onde u representa o vetor
velocidade e i e j são os vetores diretores). Neste
mesmo laboratório, um referencial R' se move com
velocidade v = (0,5c)i conforme a figura a seguir. 
Diante dos fatos (e dos dados), podemos AFIRMAR que o módulo da velocidade da partícula, na direção x, e em relação ao referencial R', corresponde a aproximadamente: (Dados: c = 300.000 km/s).

Diante dos fatos (e dos dados), podemos AFIRMAR que o módulo da velocidade da partícula, na direção x, e em relação ao referencial R', corresponde a aproximadamente: (Dados: c = 300.000 km/s).
Provas
Questão presente nas seguintes provas
O violino é um instrumento musical,
classificado como instrumento de cordas. Possui
quatro cordas percutidas, com afinação da
mais aguda à mais grave, e o som geralmente
é produzido pela ação de friccionar as cerdas
de um arco de madeiras sobre as cordas.
Sabendo que as cordas são de igual tamanho,
e que uma delas ressoa em sua frequência
fundamental de 196 Hz, onde (ao longo da corda
citada) você deve colocar seu dedo para que
sua frequência fundamental se torne 440 Hz?
Provas
Questão presente nas seguintes provas
O campo eletrostático E = (Ex
, Ey
, Ez
) é um
tipo especial de função vetorial que pode ser escrita
em termos do gradiente de uma função escalar,
a saber, o potencial eletrostático V. Campos
vetoriais que apresentam esta característica são
chamados de campos vetoriais conservativos.
Neste contexto, qual é a única alternativa abaixo
que pode representar um campo eletrostático?
Provas
Questão presente nas seguintes provas
O sistema mostrado na figura a seguir é
uma máquina de Atwood que consiste numa polia
de massa 2kg e raio R, que pode girar em torno do
eixo fixo passando pelo centro da polia. Os dois
blocos, de massa 2kg e 1kg, estão ligados por um
fio inextensível de massa desprezível. 
Desprezando todos os atritos e sabendo que os blocos são abandonados do repouso, pode-se concluir que o módulo da aceleração dos blocos é:

Desprezando todos os atritos e sabendo que os blocos são abandonados do repouso, pode-se concluir que o módulo da aceleração dos blocos é:
Provas
Questão presente nas seguintes provas
Um sistema formado por duas massas
idênticas, unidas por uma barra rígida de massa
desprezível e comprimento b, repousa sobre
um plano horizontal sem atrito. Uma partícula
de massa m desloca-se sem influências de
atritos e velocidade V0
sobre o plano horizontal,
perpendicularmente ao sistema de duas massas,
e colide frontalmente com a massa m inferior ,
ficando colada a ela (fig).
Após a colisão, a velocidade angular do sistema em torno do centro de massa é:
Após a colisão, a velocidade angular do sistema em torno do centro de massa é:
Provas
Questão presente nas seguintes provas
- Mecânica ClássicaCinemática
- Mecânica ClássicaDinâmicaQuantidade de Movimento, Impulso e ColisõesImpulso e Quantidade de Movimento
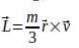
Duas partículas de massas m1 = m e m2 = 2m formam um sistema isolado. Seja
a velocidade da partícula de massa m2 em relação a m1 e
o vetor de posição de m2 em relação a m1. O momento angular total do sistema relativo ao
centro de massa é:
a velocidade da partícula de massa m2 em relação a m1 e
o vetor de posição de m2 em relação a m1. O momento angular total do sistema relativo ao
centro de massa é:Provas
Questão presente nas seguintes provas
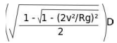
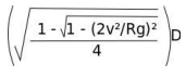
Suponha que um trem esteja se
movimentando numa curva de raio de curvatura
R a uma velocidade de valor constante v. Se a
distância entre os trilhos é D e a intensidade da
gravidade é g, a altura que é preciso levantar o
trilho externo para minimizar a pressão que o trem
exerce sobre ele, ao passar pela curva, é:
Provas
Questão presente nas seguintes provas
Suponha que uma pequena esfera de
massa m está presa na extremidade superior de
uma barra de massa desprezível e tamanho a. A
barra está inicialmente em repouso na posição
vertical e, a partir de certo de instante, começa a
tombar, conforme mostrado na figura abaixo. 
O ângulo θ para o qual a barra não exerce pressão no ponto O do plano horizontal é:

O ângulo θ para o qual a barra não exerce pressão no ponto O do plano horizontal é:
Provas
Questão presente nas seguintes provas
Considere uma onda sonora harmônica
progressiva propagando-se em um tubo cilíndrico
com área da base A. Sobre a intensidade I desta
onda, é CORRETO afirmar que:
Provas
Questão presente nas seguintes provas
Cadernos
Caderno Container