Foram encontradas 409 questões.
“Chama-se de ruído todo sinal indesejável que ocorre na transmissão de uma mensagem por meio de um canal. É tudo que dificulta a comunicação, interfere na transmissão e perturba a recepção ou a compreensão da mensagem. (Medeiros, 2010, p. 53)”
Sobre o processo de comunicação, assinale a alternativa CORRETA.
Provas
Segundo Neiva e D’Elia (2014, p. 121), as regras de etiqueta no trabalho são recomendáveis para se ter um bom comportamento social; porém, elas não devem se sobrepor à qualidade do relacionamento.
Mediante essa afirmativa, assinale a alternativa que é condizente com os padrões de etiqueta no trabalho.
Provas
Segundo Medeiros (2014), são aspectos importantes para aperfeiçoar as comunicações administrativas, EXCETO:
Provas
Entre os fatores de comunicação a que se deve especial atenção, como fator estratégico relevante que é, está o canal de comunicação.
Quando um profissional analisa o canal a ser utilizado para a sua comunicação, deve considerar:
I. Rapidez da transmissão; volume de informações a serem transmitidas.
II. Complexidade das informações a serem transmitidas; flexibilidade da linguagem a ser utilizada.
III. Número de receptores a serem atingidos; economia de recursos de tempo, de esforço e de dinheiro.
IV. Possibilidade de diálogo / interatividade; necessidade de confiabilidade.
V. Rastro das informações veiculadas; elimina período conveniente para expor a mensagem.
Deve(m) ser considerado(s) pelo profissional para sua comunicação o que se afirma em:
Provas
A liderança formal e informal é um processo interpessoal que ocorre dentro de um contexto formado por quatro elementos interdependentes.
Assinale a alternativa que não faz parte desses quatro elementos.
Provas
Assinale a alternativa que não apresenta um princípio importante para o aprimoramento do papel de ouvinte.
Provas
As questões de relacionamento humano, de ética e etiqueta no trabalho, com a utilização da tecnologia e da internet, têm gerado muita polêmica e possibilitado novos crimes e formas de prejudicar os indivíduos.
Fazem parte dos Dez Mandamentos da Ética no Computador, apresentado por Dr. Ramon C. Barquin e criados pelo Computer Ethics Institute apud Santos (2014), EXCETO:
Provas
Segundo Santos (2014), “[...] as 5 dimensões da ética foram desenvolvidas para que as pessoas compreendam que não é possível refletir ética analisando o contexto de maneira fragmentada, pois se devem ter claro todas as dimensões para desenvolver políticas éticas”.
A esse respeito, relacione a COLUNA I com a COLUNA II, associando as dimensões às suas definições.
COLUNA I
1. Sustentabilidade
2. Respeito à multicultura
3. Aprendizado contínuo
4. Inovação
5. Governança corporativa
COLUNA II
( ) São necessários para acompanhar as novas realidades sociais e até os impactos sociais.
( ) É necessário para desenvolver novas tecnologias e processos éticos, capazes de contribuir com a sociedade.
( ) Consiste em criar condições para um processo ser realizado ou para alguém ou algo existir.
( ) É o sistema pelo qual as organizações são dirigidas e incentivadas, envolvendo as práticas e os relacionamentos entre proprietários, conselho de administração, diretoria e órgãos de controle.
( ) O respeito e as políticas que consideram as diferenças individuais devem permear todas as práticas corporativas.
Assinale a sequência CORRETA.
Provas
Segundo Maximiano (2014), Fayol indica cinco elementos ou funções do processo administrativo.
Assinale a alternativa que apresenta corretamente esses cinco elementos.
Provas
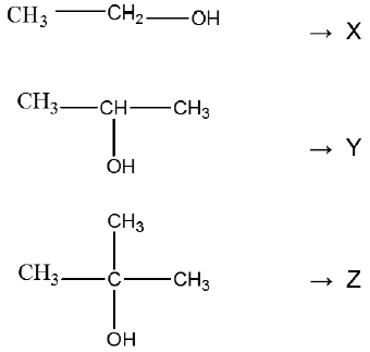
As reações orgânicas são frequentemente representadas por meio de equações abreviadas, nas quais são colocadas apenas os principais reagentes e produtos orgânicos. Considere as seguintes reações de oxidação dos compostos de alcoóis.

Com base nessas informações, assinale a alternativa INCORRETA.
Provas
Caderno Container