Foram encontradas 500 questões.
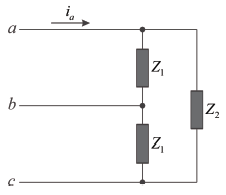
Considere a carga trifásica, apresentada na figura abaixo, a qual está alimentada por tensões balanceadas na sequência positiva de fases abc e onde ![]()

O fasor da corrente
, com seu ângulo medido em relação à
tensão
, vale
Provas
Provas
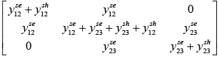
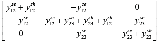
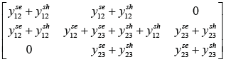
A figura abaixo apresenta um diagrama unifilar de um sistema de potência de três barras.
Sistema de potência com três barras

Considerando que as admitâncias série das linhas entre as barras
1 e 2, e entre as barras 2 e 3, são denotadas, respectivamente,
por
, e que as admitâncias em derivação destas mesmas
linhas são denotadas, respectivamente, por
. A matriz
que representa a matriz admitância de barras deste sistema é:
Provas
Relacione os grupos às suas categorias, definidos pelo Sistema Nacional de Unidades de Conservação:
GRUPOS
I- Unidade de Proteção Integral
II- Unidade de Uso Sustentável
CATEGORIAS
1- Reserva Particular do Patrimônio Natural; Estação Ecológica, Reserva da Biosfera; Parque Nacional, Refúgio da Vida Silvestre.
2- Floresta Nacional; Área de Proteção Ambiental; Monumento Natural; Reserva do Desenvolvimento Sustentável; Reserva Biológica.
3- Monumento Natural; Refúgio da Vida Silvestre; Reserva Biológica; Parque Natural; Estação Ecológica.
4- Área de Proteção Ambiental; Área de Relevante Interesse Ecológico; Floresta Nacional; Reserva Extrativista; Reserva de Fauna; Reserva de Desenvolvimento Sustentável; Reserva Particular do Patrimônio Natural.
A sequência correta é
Provas
Provas
O Programa Nacional de Floresta (PNF), por meio do Decreto nº 3.420, de 20 de abril de 2000, no seu Art 2º, apresenta vários objetivos, dentre eles, pode-se destacar o inciso IX que define:

A partir deste objetivo, e considerando os bens e os serviços florestais, constata-se que
Provas
Provas
As florestas, principalmente as tropicais, possuem papel fundamental no equilíbrio ecossistêmico e na provisão de inúmeros serviços ambientais, sendo uma de suas funções, com grande notoriedade, a assimilação de carbono. Sabe-se que a temática, acerca do aquecimento global, tem sido debatida amplamente com perspectivas diversas. Neste contexto, o manejo florestal torna-se essencial no sequestro de carbono.
De acordo com o enunciado, pode-se afirmar que
Provas
- MarketingSegmentação de Público
- MarketingPromoção
- MarketingOpinião Pública em Marketing
- MarketingRelacionamento e Responsabilidade Social
- MarketingEstratégias de Marketing
- Mensuração de ResultadosSensoriamento de Mídia
- Mensuração de ResultadosMensuração de Resultados para Pesquisa de Opinião
- Mensuração de ResultadosAuditoria de Imagem
- Relações PúblicasReputação Corporativa
Uma das etapas no desenvolvimento do relacionamento do cliente com a marca é , em que o consumidor considera essa marca no conjunto de alternativas no seu processo de compra.
A expressão que completa a lacuna corretamente é
Provas
- Políticas EconômicasPolítica Cambial
- MercadosMercado de CâmbioConceitos Básicos do Mercado de Câmbio
Provas
Caderno Container