Foram encontradas 605 questões.
Provas
O determinante da matriz
é igual a
Provas
Considere os seguintes números complexos:

A respeito de u, v e w, assinale a opção correta.
Provas
O triângulo ABC mostrado a seguir está inscrito no retângulo incompleto, de lados pontilhos. As medidas dos lados do retângulo podem ser observadas na figura seguinte.

O valor da área do triângulo ABC apresentado anteriormente é igual a
Provas
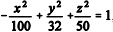
Sobre o hiperboloide de uma folha, de equação
, quando interceptado pelo plano x = 10
determina-se, no espaço, uma elipse. Nesse caso, o comprimento
do eixo maior dessa elipse, em unidades de comprimento, é igual a
Provas
Dessas informações infere-se que ƒ(x) possui
Provas

A figura precedente ilustra a regra do trapézio, um método de integração numérica que aproxima a área sob o gráfico da função f(x) pela área de um trapézio, em um intervalo [a, b] contido no domínio da função. Nessa aproximação, o erro ET é estimado na forma |ET| ≤ [h3 /12] maxx∈[a, b] |ƒ"(x)|, em que h = b – a é o comprimento do intervalo [ a, b] e ƒ"(x) é a derivada segunda de ƒ(x).
Tendo como referência essas informações, assinale a opção que apresenta a estimativa do erro ET para a função ƒ(x) = –x–2 em um intervalo [a, b] contido no semieixo positivo Ox.
Provas
Para estimar a raiz de uma equação da forma ƒ(x) = 0, um algoritmo muito usado é o denominado método de Newton-Raphson. Os itens seguintes descrevem os passos desse algoritmo e o gráfico mostra uma ilustração.
I Escolhe-se um valor xn, uma aproximação inicial para a raiz da equação ƒ(x) = 0;
II Determina-se a equação da reta tangente ao gráfico de ƒ(x) no ponto de coordenadas (xn, ƒ(xn));
III Determina-se o ponto (xn +1, 0), interseção da reta encontrada em II com o eixo das abcissas;
IV Repete-se, para xn +1, os passos II e III, e prossegue até encontrar a raiz da equação ƒ(x) = 0 com a precisão desejada.

Em notação matemática, o método de Newton é dado pela sequência recursiva seguinte, em que xn, para n = 0, 1, 2, ..., indica a n-ésima iteração do algoritmo e ƒ(xn) é a derivada da função ƒ no ponto xn:
xn + 1 = xn – ƒ(xn)/ƒ(xn).
A partir dessas informações, assinale a opção que apresenta o valor correto para xn+1, calculado pelo método de Newton-Raphson, para a função ƒ(x) = cos x 0,8.
Provas
Provas

Provas
Caderno Container